Pacoche Spatial Factor Multi-Species Occupancy Model

Data from: Pacoche

model
code
analysis
58 sites, 11 mammal species
Authors

German Forero

Robert Wallace

Galo Zapara-Rios

Emiliana Isasi-Catalá

Diego J. Lizcano

Published

August 16, 2025

Single-species occupancy models

Single-species occupancy models (MacKenzie et al., 2002) are widely used in ecology to estimate and predict the spatial distribution of a species from data collected in presence–absence repeated surveys. The popularity of these models stems from their ability to estimate the effects of environmental or management covariates on species occurrences, while accounting for false-negative errors in detection, which are common in surveys of natural populations.

Multi-species occupancy models

Multi-species occupancy models for estimating the effects of environmental covariates on several species occurrences while accounting for imperfect detection were build on the principle of the Single-species occupancy model, and developed more than 20 years ago.

Multi-species occupancy models are a powerful tool for combining information from multiple species to estimate both individual and community-level responses to management and environmental variables.

Objective

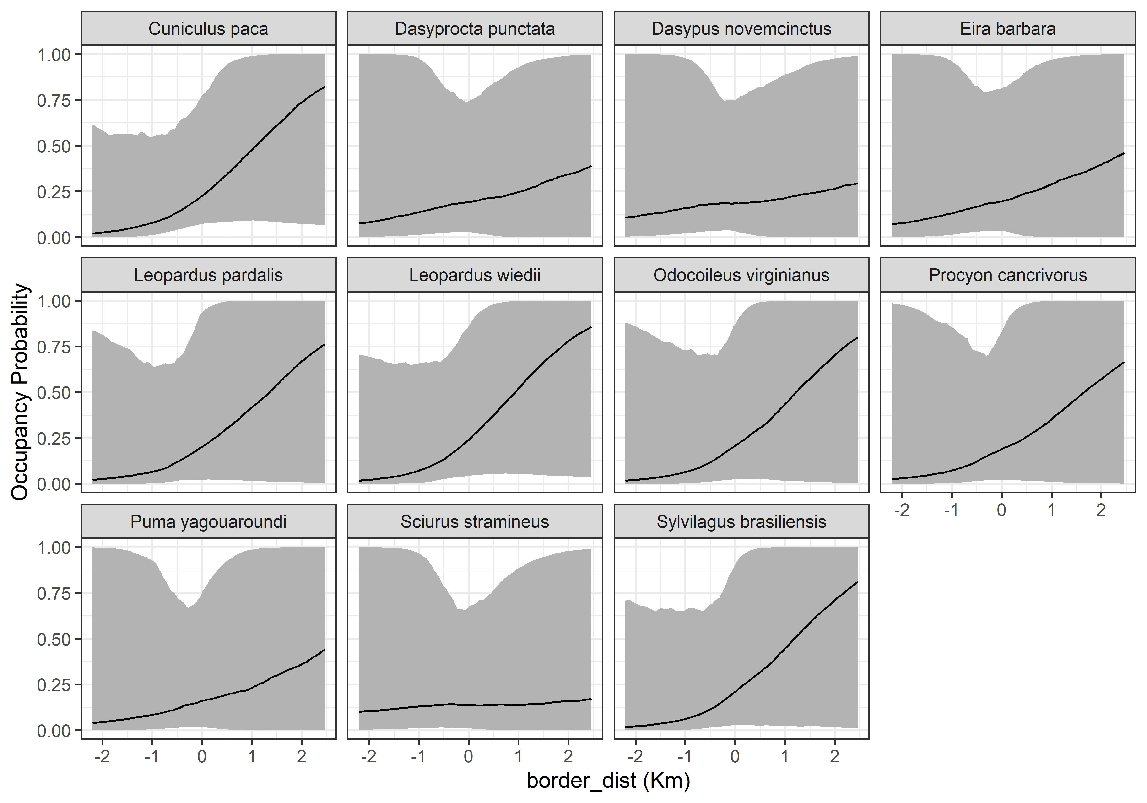
We want to asses the effect of protected areas on the occupancy of the species. We hypothesize that several mammal species have benefited of the conservation actions provided by protected areas, so we expect a decreases in occupancy from the interior of the protected area to the exterior as a function of the distance to the protected area border.

To account for several ecological factors we also tested and included elevation and forest integrity index as occupancy covariates.

We used the newly developed R package spOccupancy as approach to modelling the probability of occurrence of each species as a function of fixed effects of measured environmental covariates and random effects designed to account for unobserved sources of spatial dependence (spatial autocorrelation).

Code
library(grateful) # Facilitate Citation of R Packages
library(readxl) # Read Excel Files
library(DT) # A Wrapper of the JavaScript Library 'DataTables'
library(sf) # Simple Features for R
library(mapview) # Interactive Viewing of Spatial Data in R
library(maps) # Draw Geographical Maps
library(tmap) # Thematic Maps
library(terra) # Spatial Data Analysis
library(elevatr) # Access Elevation Data from Various APIs

# library(rjags) # Bayesian Graphical Models using MCMC 
library(bayesplot) # Plotting for Bayesian Models # Plotting for Bayesian Models
library(tictoc) # Functions for Timing R Scripts, as Well as Implementations of "Stack" and "StackList" Structures 
library(MCMCvis) # Tools to Visualize, Manipulate, and Summarize MCMC Output
library(coda) # Output Analysis and Diagnostics for MCMC
library(beepr) # Easily Play Notification Sounds on any Platform 
library(snowfall) # Easier Cluster Computing (Based on 'snow')

#library(ggmcmc)
library(camtrapR) # Camera Trap Data Management and Preparation 
library(spOccupancy) # Single-Species, Multi-Species, and Integrated Spatial Occupancy
library(tidyverse) # Easily Install and Load the 'Tidyverse'

Fitting a Multi-Species Spatial Occupancy Model

We use a more computationally efficient approach for fitting spatial multi-species occupancy models. This alternative approach is called a “spatial factor multi-species occupancy model”, and is described in depth in Doser, Finley, and Banerjee (2023). This newer approach also accounts for residual species correlations (i.e., it is a joint species distribution model with imperfect detection). The simulation results from Doser, Finley, and Banerjee (2023) show that this new alternative approach outperforms, or performs equally to spMsPGOcc(), while being substantially faster.

The Latent factor multi-species occupancy model is described in detail here

Data from Plantas Medicinales Putumayo

Here we use the table: - COL-18-Putumayo2023

Code
source("C:/CodigoR/WCS-CameraTrap/R/organiza_datos_v3.R")

AP_PlantasMed <- read_sf("C:/CodigoR/Occu_APs/shp/PlantasMedicinales/WDPA_WDOECM_May2025_Public_555511938_shp-polygons.shp")

### Ecu 17, Ecu 18, ECU 20, Ecu 22  

# load data and make array_locID column
Col_18 <- loadproject("F:/WCS-CameraTrap/data/BDcorregidas/Colombia/COL-018-Putumayo2023_WCS_WI.xlsx") |> mutate(array_locID=paste("Col_18", locationID, sep="_"))


# get sites
Col_18_sites <- get.sites("F:/WCS-CameraTrap/data/BDcorregidas/Colombia/COL-018-Putumayo2023_WCS_WI.xlsx")



# get elevation map
elevation_18 <- rast(get_elev_raster(Col_18_sites, z = 10)) #z =1-14
# bb <-  st_as_sfc(st_bbox(elevation_17)) # make bounding box 




# extract covs using points and add to _sites
covs_Col_18_sites <- cbind(Col_18_sites, terra::extract(elevation_18, Col_18_sites))
# covs_Col_17_sites <- cbind(Col_17_sites, terra::extract(elevation_17, Col_17_sites))


# get which are in and out
covs_Col_18_sites$in_AP = st_intersects(covs_Col_18_sites, AP_PlantasMed, sparse = FALSE)
# covs_Col_17_sites$in_AP = st_intersects(covs_Col_17_sites, AP_Yasuni, sparse = FALSE)




# make a map
mapview (elevation_18, alpha=0.5) + 
  mapview (AP_PlantasMed, color = "green", col.regions = "green", alpha = 0.5) +
  mapview (covs_Col_18_sites, zcol = "in_AP", col.regions =c("red","blue"), burst = TRUE) 
  # mapview (covs_Col_17_sites, zcol = "in_AP", col.regions =c("red","blue"), burst = TRUE) +

Data fom Bajo Madidi and Heath

Here we use the tables: - BOL-008a - BOL-008b - BOL14a - BOL14b

Code
source("C:/CodigoR/WCS-CameraTrap/R/organiza_datos_v3.R")

Area_Madidi <- read_sf("C:/CodigoR/Occu_APs/shp/Area_Madidi/WDPA_WDOECM_Jul2025_Public_303894_shp-polygons.shp")

Madidi_NP <- read_sf("C:/CodigoR/Occu_APs/shp/Madidi_NP/WDPA_WDOECM_Jul2025_Public_98183_shp-polygons.shp")
#AP_Tahuayo <- read_sf("C:/CodigoR/Occu_APs/shp/Tahuayo/WDPA_WDOECM_Jun2025_Public_555555621_shp-polygons.shp")

# load data and make array_locID column
#Bol_Pacaya <- read_excel("F:/WCS-CameraTrap/data/BDcorregidas/Peru/PER-003_BD_ACRCTT_T0.xlsx", sheet = "Image")


Bol_Madidi_1 <- loadproject("F:/WCS-CameraTrap/data/BDcorregidas/Bolivia/Guido/BOL-008a.xlsx") |> mutate(Point.x=as.character(paste("M1",Point.x, sep = "-"))) |> mutate(Point.y=as.character(paste("M1",Point.y, sep = "-")))

Bol_Madidi_2 <- loadproject("F:/WCS-CameraTrap/data/BDcorregidas/Bolivia/Guido/BOL-008b.xlsx") |> mutate(Point.x=as.character(paste("M2",Point.x, sep = "-"))) |> mutate(Point.y=as.character(paste("M2",Point.y, sep = "-")))

Bol_Madidi_3 <- loadproject("F:/WCS-CameraTrap/data/BDcorregidas/Bolivia/Guido/BOL-014a.xlsx")|> mutate(Point.x=as.character(paste("M3",Point.x, sep = "-"))) |> mutate(Point.y=as.character(paste("M3",Point.y, sep = "-")))

Bol_Madidi_4 <- loadproject("F:/WCS-CameraTrap/data/BDcorregidas/Bolivia/Guido/BOL-014b.xlsx")|> mutate(Point.x=as.character(paste("M4",Point.x, sep = "-"))) |> mutate(Point.y=as.character(paste("M1",Point.y, sep = "-")))


FLII2016 <- rast("C:/CodigoR/WCS_2024/FLI/raster/FLII_final/FLII_2016.tif")



# get sites
Bol_Madidi_sites1 <-  Bol_Madidi_1 |> 
   dplyr::bind_rows(Bol_Madidi_2) |> 
   dplyr::bind_rows(Bol_Madidi_3) |> 
   dplyr::bind_rows(Bol_Madidi_4) |> 
  select("Latitude", "Longitude", "Point.x" 
) |> dplyr::distinct( )  

Bol_Madidi_sites <- sf::st_as_sf(Bol_Madidi_sites1, coords = c("Longitude","Latitude"))
st_crs(Bol_Madidi_sites) <- 4326


# get elevation map
elevation_17 <- rast(get_elev_raster(Bol_Madidi_sites, z = 9)) #z =1-14
# bb <-  st_as_sfc(st_bbox(elevation_17)) # make bounding box 




# extract covs using points and add to _sites
covs_Bol_Madidi_sites <- cbind(Bol_Madidi_sites, terra::extract(elevation_17, Bol_Madidi_sites))
# covs_Ecu_17_sites <- cbind(Ecu_17_sites, terra::extract(elevation_17, Ecu_17_sites))


# get which are in and out
covs_Bol_Madidi_sites$in_AP = st_intersects(covs_Bol_Madidi_sites, Madidi_NP, sparse = FALSE)
# covs_Ecu_17_sites$in_AP = st_intersects(covs_Ecu_17_sites, AP_Machalilla, sparse = FALSE)


# make a map
mapview (elevation_17, alpha=0.7) + 
  mapview (Madidi_NP, color = "green", col.regions = "green", alpha = 0.5) +
  mapview (Area_Madidi, color = "yellow", col.regions = "yellow", alpha = 0.5) +
  #mapview (AP_Tahuayo, color = "green", col.regions = "green", alpha = 0.5) +
  mapview (covs_Bol_Madidi_sites, zcol = "in_AP", col.regions =c("red","blue"), burst = TRUE) 

Tamshiyacu Tahuayo data

Here we use the tables: - PER-003_BD_ACRCTT_T0.xlsx - PER-002_BD_ACRTT-PILOTO.xlsx

Code
source("C:/CodigoR/WCS-CameraTrap/R/organiza_datos_v3.R")

AP_Pacaya <- read_sf("C:/CodigoR/Occu_APs/shp/PacayaSamiria/WDPA_WDOECM_Jun2025_Public_249_shp-polygons.shp")

AP_Tahuayo <- read_sf("C:/CodigoR/Occu_APs/shp/Tahuayo/WDPA_WDOECM_Jun2025_Public_555555621_shp-polygons.shp")

# load data and make array_locID column
Per_Tahuayo_piloto <- loadproject("F:/WCS-CameraTrap/data/BDcorregidas/Peru/PER-002_BD_ACRTT-PILOTO.xlsx")



Per_Tahuayo <- loadproject("F:/WCS-CameraTrap/data/BDcorregidas/Peru/PER-003_BD_ACRCTT_T0.xlsx")

 
FLII2016 <- rast("C:/CodigoR/WCS_2024/FLI/raster/FLII_final/FLII_2016.tif")

# get sites
# Per_Pacaya_sites <- get.sites("F:/WCS-CameraTrap/data/BDcorregidas/Peru/PER-003_BD_ACRCTT_T0.xlsx")

# get sites
Per_Tahuayo_sites1 <- Per_Tahuayo |> select("Latitude",
                                    "Longitude",
                                    "Camera_Id" 
                                    ) |> dplyr::distinct( )  

Per_Tahuayo_sites <- sf::st_as_sf(Per_Tahuayo_sites1, coords = c("Longitude","Latitude"))
st_crs(Per_Tahuayo_sites) <- 4326



# get Pacaya sites
Per_Tahuayo_piloto_sites1 <- Per_Tahuayo_piloto |> select("Latitude",
                                    "Longitude",
                                    "Camera_Id" 
                                    ) |> dplyr::distinct( )  

Per_Tahuayo_piloto_sites <- sf::st_as_sf(Per_Tahuayo_piloto_sites1, coords = c("Longitude","Latitude"))
st_crs(Per_Tahuayo_piloto_sites) <- 4326




# get elevation map
elevation_PE <- rast(get_elev_raster(Per_Tahuayo_sites, z = 10)) #z =1-14
# bb <-  st_as_sfc(st_bbox(elevation_17)) # make bounding box 





# extract covs using points and add to _sites
covs_Per_Tahuayo_sites <- cbind(Per_Tahuayo_sites,
                                terra::extract(elevation_PE,
                                               Per_Tahuayo_sites)
                                )

# extract covs using points and add to _sites
covs_Per_Tahuayo_piloto_sites <- cbind(Per_Tahuayo_piloto_sites, terra::extract(elevation_PE, Per_Tahuayo_piloto_sites))



# get which are in and out
covs_Per_Tahuayo_sites$in_AP = st_intersects(covs_Per_Tahuayo_sites, AP_Tahuayo, sparse = FALSE)

covs_Per_Tahuayo_piloto_sites$in_AP = st_intersects(covs_Per_Tahuayo_piloto_sites, AP_Tahuayo, sparse = FALSE)




# make a map
mapview (elevation_PE, alpha=0.5) + 
  mapview (AP_Pacaya, color = "green", col.regions = "green", alpha = 0.5) +
  mapview (AP_Tahuayo, color = "green", col.regions = "green", alpha = 0.5) +
  mapview (covs_Per_Tahuayo_sites, zcol = "in_AP", col.regions =c("red","blue"), burst = TRUE) +   
  mapview (covs_Per_Tahuayo_piloto_sites, 
           zcol = "in_AP", 
           col.regions =c("blue"), 
           burst = TRUE) 

Yasuni data

Here we use the tables Ecu-13, Ecu-17, Ecu-18 y Ecu-20

Code
source("C:/CodigoR/WCS-CameraTrap/R/organiza_datos_v3.R")

AP_Yasuni <- read_sf("C:/CodigoR/Occu_APs/shp/Yasuni/WDPA_WDOECM_May2025_Public_186_shp-polygons.shp")

### Ecu 17, Ecu 18, ECU 20, Ecu 22  

# load data and make array_locID column
Ecu_13 <- loadproject("F:/WCS-CameraTrap/data/BDcorregidas/Ecuador/ECU-013.xlsx") |> mutate(array_locID=paste("Ecu_13", locationID, sep="_"))
Ecu_17 <- loadproject("F:/WCS-CameraTrap/data/BDcorregidas/Ecuador/ECU-017.xlsx") |> mutate(array_locID=paste("Ecu_17", locationID, sep="_"))
Ecu_18 <- loadproject("F:/WCS-CameraTrap/data/BDcorregidas/Ecuador/ECU-018.xlsx")|> mutate(array_locID=paste("Ecu_18", locationID, sep="_"))
Ecu_20 <- loadproject("F:/WCS-CameraTrap/data/BDcorregidas/Ecuador/ECU-020_Fix.xlsx")|> mutate(array_locID=paste("Ecu_20", locationID, sep="_"))
# Ecu_21 <- loadproject("F:/WCS-CameraTrap/data/BDcorregidas/Ecuador/ECU-021.xlsx") |> mutate(array_locID=paste("Ecu_14", locationID, sep="_"))
Ecu_22 <- loadproject("F:/WCS-CameraTrap/data/BDcorregidas/Ecuador/ECU-022.xlsx")|> mutate(array_locID=paste("Ecu_22", locationID, sep="_"))



# get sites
Ecu_13_sites <- get.sites("F:/WCS-CameraTrap/data/BDcorregidas/Ecuador/ECU-013.xlsx")
Ecu_17_sites <- get.sites("F:/WCS-CameraTrap/data/BDcorregidas/Ecuador/ECU-017.xlsx")
Ecu_18_sites <- get.sites("F:/WCS-CameraTrap/data/BDcorregidas/Ecuador/ECU-018.xlsx")
Ecu_20_sites <- get.sites("F:/WCS-CameraTrap/data/BDcorregidas/Ecuador/ECU-020_Fix.xlsx")
# Ecu_21_sites <- get.sites("F:/WCS-CameraTrap/data/BDcorregidas/Ecuador/ECU-021.xlsx")
Ecu_22_sites <- get.sites("F:/WCS-CameraTrap/data/BDcorregidas/Ecuador/ECU-022.xlsx")




# get elevation map
elevation_EC <- rast(get_elev_raster(Ecu_17_sites, z = 7)) #z =1-14
bb <-  st_as_sfc(st_bbox(elevation_EC)) # make bounding box 




# extract covs using points and add to _sites
covs_Ecu_13_sites <- cbind(Ecu_13_sites, terra::extract(elevation_EC, Ecu_13_sites))
covs_Ecu_17_sites <- cbind(Ecu_17_sites, terra::extract(elevation_EC, Ecu_17_sites))
covs_Ecu_18_sites <- cbind(Ecu_18_sites, terra::extract(elevation_EC, Ecu_18_sites))
covs_Ecu_20_sites <- cbind(Ecu_20_sites, terra::extract(elevation_EC, Ecu_20_sites))
#covs_Ecu_21_sites <- cbind(Ecu_21_sites, terra::extract(elevation_17, Ecu_21_sites))
covs_Ecu_22_sites <- cbind(Ecu_22_sites, terra::extract(elevation_EC, Ecu_22_sites))

# get which are in and out
covs_Ecu_13_sites$in_AP = st_intersects(covs_Ecu_13_sites, AP_Yasuni, sparse = FALSE)
covs_Ecu_17_sites$in_AP = st_intersects(covs_Ecu_17_sites, AP_Yasuni, sparse = FALSE)
covs_Ecu_18_sites$in_AP = st_intersects(covs_Ecu_18_sites, AP_Yasuni, sparse = FALSE)
covs_Ecu_20_sites$in_AP = st_intersects(covs_Ecu_20_sites, AP_Yasuni, sparse = FALSE)
#covs_Ecu_21_sites$in_AP = st_intersects(covs_Ecu_21_sites, AP_Yasuni, sparse = FALSE)
covs_Ecu_22_sites$in_AP = st_intersects(covs_Ecu_22_sites, AP_Yasuni, sparse = FALSE)

# covs_Ecu_16_sites$in_AP = st_intersects(covs_Ecu_16_sites, AP_Llanganates, sparse = FALSE)



# make a map
mapview (elevation_EC, alpha=0.5) + 
  mapview (AP_Yasuni, color = "green", col.regions = "green", alpha = 0.5) +
  mapview (covs_Ecu_13_sites, zcol = "in_AP", col.regions =c("red"), burst = TRUE) +
  mapview (covs_Ecu_17_sites, zcol = "in_AP", col.regions =c("red","blue"), burst = TRUE) +
  mapview (covs_Ecu_18_sites, zcol = "in_AP", col.regions =c("red"), burst = TRUE) +
  mapview (covs_Ecu_20_sites, zcol = "in_AP", col.regions =c("red","blue"), burst = TRUE) +
#  mapview (covs_Ecu_21_sites, zcol = "in_AP", col.regions =c("red"), burst = TRUE) +
  mapview (covs_Ecu_22_sites, zcol = "in_AP", burst = TRUE, col.regions = c("red") ) #+
  # mapview (covs_Ecu_16_sites, zcol = "in_AP", burst = TRUE, col.regions =c("red","blue")) 

Llanganates data

Here we use the tables Ecu-14, Ecu-15 y Ecu-16.

Code
source("C:/CodigoR/WCS-CameraTrap/R/organiza_datos_v3.R")

FLII2016 <- rast("C:/CodigoR/WCS_2024/FLI/raster/FLII_final/FLII_2016.tif")


AP_Llanganates <- read_sf("C:/CodigoR/Occu_APs/shp/Llanganates/WDPA_WDOECM_May2025_Public_97512_shp-polygons.shp")

### Ecu 14, Ecu 15  y Ecu 16

# load data and make array_locID column
Ecu_14 <- loadproject("F:/WCS-CameraTrap/data/BDcorregidas/Ecuador/ECU-014.xlsx") |> mutate(array_locID=paste("Ecu_14", locationID, sep="_"))
Ecu_15 <- loadproject("F:/WCS-CameraTrap/data/BDcorregidas/Ecuador/ECU-015.xlsx")|> mutate(array_locID=paste("Ecu_15", locationID, sep="_"))
Ecu_16 <- loadproject("F:/WCS-CameraTrap/data/BDcorregidas/Ecuador/ECU-016.xlsx")|> mutate(array_locID=paste("Ecu_16", locationID, sep="_"))



# get sites
Ecu_14_sites <- get.sites("F:/WCS-CameraTrap/data/BDcorregidas/Ecuador/ECU-014.xlsx")
Ecu_15_sites <- get.sites("F:/WCS-CameraTrap/data/BDcorregidas/Ecuador/ECU-015.xlsx")
Ecu_16_sites <- get.sites("F:/WCS-CameraTrap/data/BDcorregidas/Ecuador/ECU-016.xlsx")




# get elevation map
elevation_14 <- rast(get_elev_raster(Ecu_14_sites, z = 9)) #z =1-14
bb <-  st_as_sfc(st_bbox(elevation_14)) # make bounding box 




# extract covs using points and add to _sites
covs_Ecu_14_sites <- cbind(Ecu_14_sites, terra::extract(elevation_14, Ecu_14_sites))

covs_Ecu_15_sites <- cbind(Ecu_15_sites, terra::extract(elevation_14, Ecu_15_sites))

covs_Ecu_16_sites <- cbind(Ecu_16_sites, terra::extract(elevation_14, Ecu_16_sites))

# get which are in and out
covs_Ecu_14_sites$in_AP = st_intersects(covs_Ecu_14_sites, AP_Llanganates, sparse = FALSE)

covs_Ecu_15_sites$in_AP = st_intersects(covs_Ecu_15_sites, AP_Llanganates, sparse = FALSE)

covs_Ecu_16_sites$in_AP = st_intersects(covs_Ecu_16_sites, AP_Llanganates, sparse = FALSE)



# make a map
mapview (elevation_14, alpha=0.7) + 
  mapview (AP_Llanganates, color = "green", col.regions = "green", alpha = 0.5) +
  mapview (covs_Ecu_14_sites, zcol = "in_AP", col.regions =c("red","blue"), burst = TRUE) +
  mapview (covs_Ecu_15_sites, zcol = "in_AP", burst = TRUE, col.regions = c("blue") )+
  mapview (covs_Ecu_16_sites, zcol = "in_AP", burst = TRUE, col.regions =c("red","blue")) 

Pacoche 2014 data

Here we use the tables Pacoche_DL_CT-RVP-2014

Camera trap operation data and detection history

Code
# # Join 3 tables
# # fix count in ECU 13, 17, 22,
# Ecu_13$Count <- as.character(Ecu_13$Count)
# Ecu_17$Count <- as.character(Ecu_17$Count)
# Ecu_22$Count <- as.character(Ecu_22$Count)
# 
# Ecu_full <- Ecu_13 |> full_join(Ecu_17) |> 
#                       full_join(Ecu_18) |> 
#                       full_join(Ecu_20) |> 
# #                      full_join(Ecu_21) |> 
#                       full_join(Ecu_22)
# 
# ###### Bolivia
# 
# Bol_full <- Bol_Madidi_1  |> 
#    full_join(Bol_Madidi_2) |> 
#    full_join(Bol_Madidi_3) |> 
#    full_join(Bol_Madidi_4) 
# # change camera Id by point. two cameras in one
# Bol_full <- Bol_full |> mutate(Camera_Id=Point.x)


# # Ecu_18$Count <- as.numeric(Ecu_18$Count)
# Per_Tahuayo_piloto$Longitude <- as.numeric(Per_Tahuayo_piloto$Longitude)
# Per_Tahuayo_piloto$Latitude <- as.numeric(Per_Tahuayo_piloto$Latitude)
# 
# 
# Per_full <- Per_Tahuayo|> 
#   full_join(Per_Tahuayo_piloto) #|> 
#                       # full_join(Ecu_18) |> 
#                       # full_join(Ecu_20) |> 
#                       # full_join(Ecu_21) |> 
#                       # full_join(Ecu_22)
# 
# # rename camera id
# # Per_full$camid <- Per_full$`Camera_Id`
# 
# Ecu_full$Count <- as.numeric(Ecu_full$Count)
# Per_full$Count <- as.numeric(Per_full$Count)


#################### Ecuador Llanganates

# Join 3 tables
# Ecu_Llanganates <- Ecu_14 |> full_join(Ecu_15) |> full_join(Ecu_16)


# make columns equal to 46
# Ecu_full <- Ecu_full[,-47]
# Col_18 <- Col_18[,-47]
# Ecu_Llanganates <- Ecu_Llanganates[,-c(50,49,48,47)]

##################################
data_full <- Ecu_Pacoche# Ecu_Llanganates # Bol_full# rbind(Ecu_full, 
                   # Per_full,
                   # Bol_full,
                   # Col_18,
                   # Ecu_Llanganates)


# fix date format
# 

data_full <- data_full |>
  mutate(start_date=camera_trap_start_time) |> 
  mutate(end_date=camera_trap_end_time) |> 
  mutate(Date_Time_Captured=photo_date)  |> 
  mutate(Camera_Id=camera_trap) 

# Formatting a Date object
data_full$start_date <- as.Date(data_full$camera_trap_start_time, "%d-%m-%Y")
data_full$start_date <- format(data_full$start_date, "%Y-%m-%d")

data_full$end_date <- as.Date(data_full$"end_date", "%d-%m-%Y")
data_full$end_date <- format(data_full$end_date, "%Y-%m-%d")

data_full$eventDate <- as.Date(data_full$"Date_Time_Captured", "%Y-%m-%d")
data_full$eventDate <- format(data_full$eventDate, "%Y-%m-%d")

# Per_full$eventDateTime <- ymd_hms(paste(Per_full$"photo_date", Per_full$"photo_time", sep=" "))

data_full$eventDateTime <- ymd_hms(paste(
  data_full$photo_date,
  data_full$photo_time))

###############################
# remove duplicated cameras
################################
# ind1 <- which(data_full$Camera_Id=="ECU-020-C0027")
# ind2 <- which(data_full$Camera_Id=="ECU-020-C0006")
# data_full <- data_full[-ind1,]
# data_full <- data_full[-ind2,]


# filter 2021 and make uniques
CToperation  <- data_full |> dplyr::group_by(Camera_Id) |> #(array_locID) |> 
                           mutate(minStart=start_date, maxEnd=end_date) |> distinct(Longitude, Latitude, minStart, maxEnd) |> dplyr::ungroup()
# remove one duplicated
# View(CToperation)
# CToperation <- CToperation[-15,]

# Duplicated Madidi
# 98 107, 97 104, 90 102, 81 87, 74 82
# M3-19: M3-21: M4-10: M4-12: M4-18:  From Madidi
# CToperation <- CToperation[-c(107, 104, 102, 87, 82),]

#CToperation[231,3] <- "-4.482831" #Latitude
#CToperation[93,3] <- "-0.5548211" #Latitude
#CToperation[93,2] <- "-76.48333"

# duplicated in Pacoche
CToperation <- CToperation[c(-26,-21,-10,-9,-47),] 

### Check duplicated
# View(as.data.frame(sort(table(CToperation$Latitude))))
# View(as.data.frame(sort(table(CToperation$Longitude))))
# View(as.data.frame(table(CToperation$Camera_Id)))

# CToperation <- CToperation[-c(90,94),]
# Latitude -4.48283
# Latitude -0.554820969700813
# Longitude -76.4833290316164

# Generamos la matríz de operación de las cámaras

camop <- cameraOperation(CTtable= CToperation, # Tabla de operación
                         stationCol= "Camera_Id", # Columna que define la estación
                         setupCol= "minStart", #Columna fecha de colocación
                         retrievalCol= "maxEnd", #Columna fecha de retiro
                         #hasProblems= T, # Hubo fallos de cámaras
                         dateFormat= "%Y-%m-%d")#, #, # Formato de las fechas
                         #cameraCol="Camera_Id")
                         # sessionCol= "Year")

# Generar las historias de detección ---------------------------------------
## remove plroblem species

# Per_full$scientificName <- paste(Per_full$genus, Per_full$species, sep=" ")

#### remove NAs and setups
# ind <- which(is.na(data_full$scientificName))
# data_full <- data_full[-ind,]
# ind <- which(Per_full$scientificName=="NA NA")
# Per_full <- Per_full[-ind,]

# ind <- which(Per_full$scientificName=="Set up")
# Per_full <- Per_full[-ind,]
# 
# ind <- which(Per_full$scientificName=="Blank")
# Per_full <- Per_full[-ind,]
# 
# ind <- which(Per_full$scientificName=="Unidentifiable")
# Per_full <- Per_full[-ind,]
data_full$scientificName <- paste(data_full$genus,
                                  data_full$species)


cams <- unique(CToperation$Camera_Id)
data_full <- data_full |> filter(Camera_Id==cams)


DetHist_list <- lapply(unique(data_full$scientificName), FUN = function(x) {
  detectionHistory(
    recordTable         = data_full, # tabla de registros
    camOp                = camop, # Matriz de operación de cámaras
    stationCol           = "camera_trap",
    speciesCol           = "scientificName",
    recordDateTimeCol    = "eventDateTime",
    recordDateTimeFormat  = "%Y-%m-%d %H:%M:%S",
    species              = x,     # la función reemplaza x por cada una de las especies
    occasionLength       = 15, # Colapso de las historias a 10 ías
    day1                 = "station", # "survey" a specific date, "station", #inicie en la fecha de cada survey
    datesAsOccasionNames = FALSE,
    includeEffort        = TRUE,
    scaleEffort          = FALSE,
    #unmarkedMultFrameInput=TRUE
    timeZone             = "America/Bogota" 
    )
  }
)

# names
names(DetHist_list) <- unique(data_full$scientificName)

# Finalmente creamos una lista nueva donde estén solo las historias de detección
ylist <- lapply(DetHist_list, FUN = function(x) x$detection_history)
# otra lista con effort scaled
efort <- lapply(DetHist_list, FUN = function(x) x$effort)

# number of observetions per sp, collapsed to 7 days
# lapply(ylist, sum, na.rm = TRUE)

Arrange spatial covariates

The standard EPSG code for a Lambert Azimuthal Equal-Area projection for South America is EPSG:10603 (WGS 84 / GLANCE South America). This projection is specifically designed for the continent and has its center located around the central meridian for the region. The units are meters.

FLII scores range from 0 (lowest integrity) to 10 (highest). Grantham discretized this range to define three broad illustrative categories: low (≤6.0); medium (>6.0 and <9.6); and high integrity (≥9.6).

Code
# #transform coord data to Lambert Azimuthal Equal-Area
# AP_Tahuayo_UTM <- st_transform(AP_Tahuayo, "EPSG:10603")
# # Convert to LINESTRING
# AP_Tahuayo_UTM_line <- st_cast(AP_Tahuayo_UTM,"MULTILINESTRING")# "LINESTRING")
# #transform Yasuni to Lambert Azimuthal Equal-Area
# AP_Yasuni_UTM <- st_transform(AP_Yasuni, "EPSG:10603")
# # Convert to LINESTRING
# AP_Yasuni_UTM_line <- st_cast(AP_Yasuni_UTM, "MULTILINESTRING")

#transform Yasuni to Lambert Azimuthal Equal-Area
AP_Pacoche_UTM <- st_transform(AP_Pacoche, "EPSG:10603")
# Convert to LINESTRING
AP_Pacoche_UTM_line <- st_cast(AP_Pacoche_UTM, "MULTILINESTRING")

# # Plantas
# AP_PlantasMed_UTM <- st_transform(AP_PlantasMed, "EPSG:10603")
# 
# #Llanganates
# AP_Llanganates_UTM <- st_transform(AP_Llanganates, "EPSG:10603")


############## sf AP Union 
AP_merged_sf_UTM <- AP_Pacoche_UTM# AP_Madidi_UTM# st_union(
                             # AP_Yasuni_UTM,
                             # AP_Tahuayo_UTM,
                             # AP_Madidi_UTM,
                             # AP_PlantasMed_UTM,
                             # AP_Llanganates_UTM
                             # )

AP_merged_line <- st_cast(AP_merged_sf_UTM, to="MULTILINESTRING")


# make sf() from data table
data_full_sf <- CToperation |> 
    st_as_sf(coords = c("Longitude", "Latitude"), 
              crs = 4326)

# get the elevation point from AWS
elev_data <- elevatr::get_elev_point(locations = data_full_sf, 
                                     src = "aws",
                                     z=12)
Mosaicing & Projecting
Note: Elevation units are in meters
Code
# extract elev and paste to table
data_full_sf$elev <- elev_data$elevation
str(data_full_sf$elev)
 num [1:58] 213 198 293 172 152 204 246 376 358 169 ...
Code
# extract in AP
data_full_sf$in_AP = as.factor(st_intersects(data_full_sf, AP_Pacoche, sparse = FALSE))

in_AP <- as.numeric((st_drop_geometry(data_full_sf$in_AP)))

# extract FLII
data_full_sf$FLII <- terra::extract(FLII2016, data_full_sf)[,2]
str(data_full_sf$FLII)
 num [1:58] 8.33 5.58 6.25 5.77 4.31 ...
Code
# Replace all NAs with min flii in a numeric column
data_full_sf$FLII[is.na(data_full_sf$FLII)] <- min(data_full_sf$FLII, na.rm = TRUE)-1

# mapview(full_sites_14_15_16_sf, zcol = "in_AP", burst = TRUE)

# Transform coord to Lambert Azimuthal Equal-Area
data_full_sf_UTM <- st_transform(data_full_sf, "EPSG:10603")


coords <- st_coordinates(data_full_sf_UTM)
#str(coords)

#### fix duplicated coord
# -1840583.53296873  en x
# -1842515.36969736  en x
# 1547741.44311964  en y
# 1541202.24796904 en y

# which(coords[,1]=="-1840583.53296873")
# which(coords[,1]=="-1842515.36969736")
# which(coords[,2]=="1547741.44311964")
# which(coords[,2]=="1541202.24796904")

# make Ecu_14_15_16 an sf object
#    cam_sf <- st_as_sf(Ecu_14_15_16, coords = c("lon","lat"))   #crs="EPSG:4326")
    #--- set CRS ---#
#    st_crs(cam_sf) <- 4326




# Calculate the distance
#multiplic <- full_sites_14_15_16_sf_UTM |> mutate(multiplic= as.numeric(in_AP)) 
multiplic=ifelse(data_full_sf_UTM$in_AP=="TRUE",-1,1)
data_full_sf_UTM$border_dist <- as.numeric(st_distance(data_full_sf_UTM, AP_Pacoche_UTM_line) * multiplic )
# print(border_dist)

# convert true false to inside 1, outside 0
data_full_sf_UTM <- data_full_sf_UTM |>
  mutate(in_AP = case_when(
    str_detect(in_AP, "TRUE") ~ 1, # "inside_AP",
    str_detect(in_AP, "FALSE") ~ 0 #"outside_AP"
  )) |> mutate(in_AP=as.factor(in_AP))


hist(data_full_sf_UTM$border_dist)

Code
hist(data_full_sf_UTM$elev)

Prepare the model

TipData in a 3D array

The data must be placed in a three-dimensional array with dimensions corresponding to species, sites, and replicates in that order.

The function sfMsPGOcc

Fits multi-species spatial occupancy models with species correlations (i.e., a spatially-explicit joint species distribution model with imperfect detection). We use Polya-Gamma latent variables and a spatial factor modeling approach. Currently, models are implemented using a Nearest Neighbor Gaussian Process.

Code
# Detection-nondetection data ---------
# Species of interest, can select individually
# curr.sp <- sort(unique(Ecu_14_15_16$.id))# c('BAWW', 'BLJA', 'GCFL')
# sort(names(DetHist_list))
selected.sp <-  c(
# "Atelocynus microtis" ,
#"Coendou prehensilis" ,
"Cuniculus paca",           
#"Cuniculus taczanowskii",
"Dasyprocta punctata",      
"Dasypus novemcinctus" ,    
"Didelphis pernigra",    
"Eira barbara",  
#"Herpailurus yagouaroundi",
"Leopardus pardalis",    
#"Leopardus tigrinus" ,
"Leopardus wiedii",         
#"Mazama americana",
#"Mazama murelia",
#"Mazama rufina" ,
#"Mazama zamora" ,
#"Mazama gouazoubira",
#"Mitu tuberosum" ,
#"Myoprocta pratti",
#"Nasuella olivacea" ,
#"Myrmecophaga tridactyla",
#"Nasua nasua" ,
# "Mazama americana",         
# "Myotis myotis",           
# "Nasua narica",             
"Odocoileus virginianus",   
#"Odocoileus ustus",
"Panthera onca" ,
"Procyon cancrivorus" ,
"Puma yagouaroundi"   ,
#"Pecari tajacu",    
"Sciurus stramineus",
#"Penelope jacquacu" ,
#"Priodontes maximus" ,
#"Procyon cancrivorus",      
# "Psophia leucoptera",
#"Pudu mephistophiles" ,
#"Puma concolor" ,
#"Puma yagouaroundi",        
# "Rattus rattus" ,
# "Roedor sp.",
# "Sciurus sp.",       
# "Sus scrofa",               
"Sylvilagus brasiliensis"  
# "Tamandua tetradactyla",   
# "Tapirus pinchaque" ,
# "Tapirus terrestris",
# "Tayassu pecari",
# "Tremarctos ornatus" 
#"Tinamus major"            
              )

# y.msom <- y[which(sp.codes %in% selected.sp), , ]
# str(y.msom)

# Use selection
y.selected <- ylist[selected.sp]   

#####################################
#### three-dimensional array with dimensions corresponding to:
#### species, sites, and replicates
#####################################

# 1. Load the abind library to make arrays easily 
library(abind)
my_array_abind <- abind(y.selected, # start from list
                        along = 3, # 3D array
                        use.first.dimnames=TRUE) # keep names

# Transpose the array to have:
# species, sites, and sampling occasions in that order
# The new order is (3rd dim, 1st dim, 2nd dim)
transposed_array <- aperm(my_array_abind, c(3, 1, 2))

#### site covs
sitecovs <- as.data.frame(st_drop_geometry(
                    data_full_sf_UTM[,5:8]))

 sitecovs[, 1] <- as.vector((sitecovs[,1]))   # scale numeric covariates
 sitecovs[, 1] <- as.numeric((sitecovs[,2]))   # scale numeric covariates
 sitecovs[, 3] <- as.vector((sitecovs[,3]))   # scale numeric covariates
 sitecovs[, 4] <- as.vector((sitecovs[,4]))   # scale numeric covariates
 # sitecovs$fact <- factor(c("A", "A", "B"))    # categorical covariate

names(sitecovs) <- c("elev", "in_AP", "FLII", "border_dist")

# check consistancy equal number of spatial covariates and rows in data
# identical(nrow(ylist[[1]]), nrow(covars)) 

# Base de datos para los análisis -----------------------------------------

# match the names to "y"  "occ.covs" "det.covs" "coords" 
data_list <- list(y = transposed_array, # Historias de detección
                  occ.covs = sitecovs, # covs de sitio
                  det.covs  = list(effort = DetHist_list[[1]]$effort),
                  coords = st_coordinates(data_full_sf_UTM)
                  )  # agregamos el esfuerzo de muestreo como covariable de observación

Running the model

We let spOccupancy set the initial values by default based on the prior distributions.

Code
# Running the model

# 3. 1 Modelo multi-especie  -----------------------------------------

# 2. Model fitting --------------------------------------------------------
# Fit a non-spatial, multi-species occupancy model. 
out.null <- msPGOcc(occ.formula = ~ scale(elev) +
                               scale(border_dist) + 
                               scale(FLII) , 
               det.formula = ~ scale(effort) , # Ordinal.day + I(Ordinal.day^2) + Year
                 data = data_list, 
                 n.samples = 6000, 
                 n.thin = 10, 
                 n.burn = 1000, 
                 n.chains = 3,
                 n.report = 1000);beep(sound = 4)
----------------------------------------
    Preparing to run the model
----------------------------------------
No prior specified for beta.comm.normal.
Setting prior mean to 0 and prior variance to 2.72
No prior specified for alpha.comm.normal.
Setting prior mean to 0 and prior variance to 2.72
No prior specified for tau.sq.beta.ig.
Setting prior shape to 0.1 and prior scale to 0.1
No prior specified for tau.sq.alpha.ig.
Setting prior shape to 0.1 and prior scale to 0.1
z is not specified in initial values.
Setting initial values based on observed data
beta.comm is not specified in initial values.
Setting initial values to random values from the prior distribution
alpha.comm is not specified in initial values.
Setting initial values to random values from the prior distribution
tau.sq.beta is not specified in initial values.
Setting initial values to random values between 0.5 and 10
tau.sq.alpha is not specified in initial values.
Setting to initial values to random values between 0.5 and 10
beta is not specified in initial values.
Setting initial values to random values from the community-level normal distribution
alpha is not specified in initial values.
Setting initial values to random values from the community-level normal distribution
----------------------------------------
    Model description
----------------------------------------
Multi-species Occupancy Model with Polya-Gamma latent
variable fit with 58 sites and 11 species.

Samples per Chain: 6000 
Burn-in: 1000 
Thinning Rate: 10 
Number of Chains: 3 
Total Posterior Samples: 1500 

Source compiled with OpenMP support and model fit using 1 thread(s).

----------------------------------------
    Chain 1
----------------------------------------
Sampling ... 
Sampled: 1000 of 6000, 16.67%
-------------------------------------------------
Sampled: 2000 of 6000, 33.33%
-------------------------------------------------
Sampled: 3000 of 6000, 50.00%
-------------------------------------------------
Sampled: 4000 of 6000, 66.67%
-------------------------------------------------
Sampled: 5000 of 6000, 83.33%
-------------------------------------------------
Sampled: 6000 of 6000, 100.00%
----------------------------------------
    Chain 2
----------------------------------------
Sampling ... 
Sampled: 1000 of 6000, 16.67%
-------------------------------------------------
Sampled: 2000 of 6000, 33.33%
-------------------------------------------------
Sampled: 3000 of 6000, 50.00%
-------------------------------------------------
Sampled: 4000 of 6000, 66.67%
-------------------------------------------------
Sampled: 5000 of 6000, 83.33%
-------------------------------------------------
Sampled: 6000 of 6000, 100.00%
----------------------------------------
    Chain 3
----------------------------------------
Sampling ... 
Sampled: 1000 of 6000, 16.67%
-------------------------------------------------
Sampled: 2000 of 6000, 33.33%
-------------------------------------------------
Sampled: 3000 of 6000, 50.00%
-------------------------------------------------
Sampled: 4000 of 6000, 66.67%
-------------------------------------------------
Sampled: 5000 of 6000, 83.33%
-------------------------------------------------
Sampled: 6000 of 6000, 100.00%
Code
summary(out.null, level = 'community')

Call:
msPGOcc(occ.formula = ~scale(elev) + scale(border_dist) + scale(FLII), 
    det.formula = ~scale(effort), data = data_list, n.samples = 6000, 
    n.report = 1000, n.burn = 1000, n.thin = 10, n.chains = 3)

Samples per Chain: 6000
Burn-in: 1000
Thinning Rate: 10
Number of Chains: 3
Total Posterior Samples: 1500
Run Time (min): 0.3265

----------------------------------------
    Community Level
----------------------------------------
Occurrence Means (logit scale): 
                      Mean     SD    2.5%     50%  97.5%   Rhat ESS
(Intercept)        -1.5156 0.9361 -3.1049 -1.5971 0.5912 1.0142  59
scale(elev)         0.9467 0.8481 -0.8008  0.9190 2.6576 1.0276 426
scale(border_dist)  0.7389 0.8682 -1.0967  0.7490 2.3643 1.0871 250
scale(FLII)         0.6993 0.6994 -0.7696  0.6749 2.2193 1.0096 203

Occurrence Variances (logit scale): 
                     Mean      SD   2.5%    50%   97.5%   Rhat ESS
(Intercept)        0.7644  1.3082 0.0458 0.3661  3.9154 1.0132 281
scale(elev)        6.3263 13.0963 0.0931 1.9889 39.8899 1.1735  50
scale(border_dist) 5.0322 12.2979 0.0575 0.7387 41.2444 1.2001  31
scale(FLII)        1.9051  3.8875 0.0516 0.5202 12.8251 1.0449  92

Detection Means (logit scale): 
                 Mean     SD    2.5%     50%   97.5%   Rhat ESS
(Intercept)   -3.2434 0.6341 -4.3776 -3.2936 -1.9102 1.0040  77
scale(effort)  0.8205 0.3947  0.1023  0.7869  1.6806 1.0196 642

Detection Variances (logit scale): 
                Mean     SD   2.5%    50%  97.5%   Rhat ESS
(Intercept)   0.9590 0.9969 0.0866 0.6723 3.2987 1.0016 807
scale(effort) 0.3917 0.5353 0.0389 0.2287 1.7652 1.0311 950
Code
# Fit a non-spatial, Latent Factor Multi-Species Occupancy Model. 
  out.lfMs <- msPGOcc(occ.formula = ~ scale(elev) +
                               scale(border_dist) + 
                               scale(FLII) , 
               det.formula = ~ scale(effort), # Ordinal.day + I(Ordinal.day^2) + Year
                 data = data_list, 
                 n.omp.threads = 6,
                 n.samples = 6000, 
                 n.factors = 5, # balance of rare sp. and run time
                 n.thin = 10, 
                 n.burn = 1000, 
                 n.chains = 3,
                 n.report = 1000);beep(sound = 4)
----------------------------------------
    Preparing to run the model
----------------------------------------
Warning in msPGOcc(occ.formula = ~scale(elev) + scale(border_dist) +
scale(FLII), : 'n.factors' is not an argument
No prior specified for beta.comm.normal.
Setting prior mean to 0 and prior variance to 2.72
No prior specified for alpha.comm.normal.
Setting prior mean to 0 and prior variance to 2.72
No prior specified for tau.sq.beta.ig.
Setting prior shape to 0.1 and prior scale to 0.1
No prior specified for tau.sq.alpha.ig.
Setting prior shape to 0.1 and prior scale to 0.1
z is not specified in initial values.
Setting initial values based on observed data
beta.comm is not specified in initial values.
Setting initial values to random values from the prior distribution
alpha.comm is not specified in initial values.
Setting initial values to random values from the prior distribution
tau.sq.beta is not specified in initial values.
Setting initial values to random values between 0.5 and 10
tau.sq.alpha is not specified in initial values.
Setting to initial values to random values between 0.5 and 10
beta is not specified in initial values.
Setting initial values to random values from the community-level normal distribution
alpha is not specified in initial values.
Setting initial values to random values from the community-level normal distribution
----------------------------------------
    Model description
----------------------------------------
Multi-species Occupancy Model with Polya-Gamma latent
variable fit with 58 sites and 11 species.

Samples per Chain: 6000 
Burn-in: 1000 
Thinning Rate: 10 
Number of Chains: 3 
Total Posterior Samples: 1500 

Source compiled with OpenMP support and model fit using 6 thread(s).

----------------------------------------
    Chain 1
----------------------------------------
Sampling ... 
Sampled: 1000 of 6000, 16.67%
-------------------------------------------------
Sampled: 2000 of 6000, 33.33%
-------------------------------------------------
Sampled: 3000 of 6000, 50.00%
-------------------------------------------------
Sampled: 4000 of 6000, 66.67%
-------------------------------------------------
Sampled: 5000 of 6000, 83.33%
-------------------------------------------------
Sampled: 6000 of 6000, 100.00%
----------------------------------------
    Chain 2
----------------------------------------
Sampling ... 
Sampled: 1000 of 6000, 16.67%
-------------------------------------------------
Sampled: 2000 of 6000, 33.33%
-------------------------------------------------
Sampled: 3000 of 6000, 50.00%
-------------------------------------------------
Sampled: 4000 of 6000, 66.67%
-------------------------------------------------
Sampled: 5000 of 6000, 83.33%
-------------------------------------------------
Sampled: 6000 of 6000, 100.00%
----------------------------------------
    Chain 3
----------------------------------------
Sampling ... 
Sampled: 1000 of 6000, 16.67%
-------------------------------------------------
Sampled: 2000 of 6000, 33.33%
-------------------------------------------------
Sampled: 3000 of 6000, 50.00%
-------------------------------------------------
Sampled: 4000 of 6000, 66.67%
-------------------------------------------------
Sampled: 5000 of 6000, 83.33%
-------------------------------------------------
Sampled: 6000 of 6000, 100.00%
Code
summary(out.lfMs, level = 'community')

Call:
msPGOcc(occ.formula = ~scale(elev) + scale(border_dist) + scale(FLII), 
    det.formula = ~scale(effort), data = data_list, n.samples = 6000, 
    n.omp.threads = 6, n.report = 1000, n.burn = 1000, n.thin = 10, 
    n.chains = 3, n.factors = 5)

Samples per Chain: 6000
Burn-in: 1000
Thinning Rate: 10
Number of Chains: 3
Total Posterior Samples: 1500
Run Time (min): 0.3545

----------------------------------------
    Community Level
----------------------------------------
Occurrence Means (logit scale): 
                      Mean     SD    2.5%     50%  97.5%   Rhat ESS
(Intercept)        -1.1343 1.1195 -2.8272 -1.3499 1.3076 1.9196  47
scale(elev)         0.9096 0.9889 -1.0755  0.8870 2.9962 1.0141 389
scale(border_dist)  0.8461 0.9602 -1.1341  0.8323 2.7900 1.0213 227
scale(FLII)         0.7718 0.9509 -1.1322  0.7517 2.6964 1.2946  63

Occurrence Variances (logit scale): 
                      Mean      SD   2.5%    50%    97.5%   Rhat ESS
(Intercept)         1.2345  2.5442 0.0477 0.4352   7.8684 1.1890 160
scale(elev)        14.2007 29.9656 0.0896 3.1462 104.7365 2.0869  28
scale(border_dist)  6.8258 24.9834 0.0554 0.8258  59.2579 1.8562  59
scale(FLII)         6.1356 17.9578 0.0505 0.6292  60.6307 2.0063  20

Detection Means (logit scale): 
                 Mean     SD    2.5%     50%   97.5%   Rhat ESS
(Intercept)   -3.3989 0.6305 -4.4833 -3.4500 -2.0655 2.0395  39
scale(effort)  0.7829 0.3922  0.1122  0.7412  1.6304 1.0280 460

Detection Variances (logit scale): 
                Mean     SD   2.5%    50%  97.5%   Rhat ESS
(Intercept)   0.9987 0.9414 0.1029 0.7117 3.5945 1.0091 358
scale(effort) 0.3342 0.3824 0.0348 0.2123 1.3698 1.0007 921
Code
# Fit a Spatial Factor Multi-Species Occupancy Model
# latent spatial factors.
tictoc::tic()
  out.sp <- sfMsPGOcc(occ.formula = ~ scale(elev) +
                               scale(border_dist) + 
                               scale(FLII) , 
               det.formula = ~ scale(effort), # Ordinal.day + I(Ordinal.day^2) + Year,            
                      data = data_list, 
                      n.omp.threads = 6,
                      n.batch = 500, 
                      batch.length = 40, # iter=600*25
                      n.thin = 10, 
                      n.burn = 10000, 
                      n.chains = 3,
                      NNGP = TRUE,
                      n.factors = 3, # balance of rare sp. and run time
                      n.neighbors = 8,
                      cov.model = 'exponential',
                      n.report = 1000);beep(sound = 4)
----------------------------------------
    Preparing to run the model
----------------------------------------
No prior specified for beta.comm.normal.
Setting prior mean to 0 and prior variance to 2.72
No prior specified for alpha.comm.normal.
Setting prior mean to 0 and prior variance to 2.72
No prior specified for tau.sq.beta.
Using an inverse-Gamma prior with prior shape 0.1 and prior scale 0.1
No prior specified for tau.sq.alpha.
Using an inverse-Gamma prior with prior shape 0.1 and prior scale 0.1
No prior specified for phi.unif.
Setting uniform bounds based on the range of observed spatial coordinates.
z is not specified in initial values.
Setting initial values based on observed data
beta.comm is not specified in initial values.
Setting initial values to random values from the prior distribution
alpha.comm is not specified in initial values.
Setting initial values to random values from the prior distribution
tau.sq.beta is not specified in initial values.
Setting initial values to random values between 0.5 and 10
tau.sq.alpha is not specified in initial values.
Setting initial values to random values between 0.5 and 10
beta is not specified in initial values.
Setting initial values to random values from the community-level normal distribution
alpha is not specified in initial values.
Setting initial values to random values from the community-level normal distribution
phi is not specified in initial values.
Setting initial value to random values from the prior distribution
lambda is not specified in initial values.
Setting initial values of the lower triangle to 0
----------------------------------------
    Building the neighbor list
----------------------------------------
----------------------------------------
Building the neighbors of neighbors list
----------------------------------------
----------------------------------------
    Model description
----------------------------------------
Spatial Factor NNGP Multi-species Occupancy Model with Polya-Gamma latent
variable fit with 58 sites and 11 species.

Samples per chain: 20000 (500 batches of length 40)
Burn-in: 10000 
Thinning Rate: 10 
Number of Chains: 3 
Total Posterior Samples: 3000 

Using the exponential spatial correlation model.

Using 3 latent spatial factors.
Using 8 nearest neighbors.

Source compiled with OpenMP support and model fit using 6 thread(s).

Adaptive Metropolis with target acceptance rate: 43.0
----------------------------------------
    Chain 1
----------------------------------------
Sampling ... 
Batch: 500 of 500, 100.00%
----------------------------------------
    Chain 2
----------------------------------------
Sampling ... 
Batch: 500 of 500, 100.00%
----------------------------------------
    Chain 3
----------------------------------------
Sampling ... 
Batch: 500 of 500, 100.00%
Code
tictoc::toc()
146.22 sec elapsed
Code
#########################
# Fit a Spatial Factor Multi-Species Occupancy Model
# latent spatial factors.
tictoc::tic()
  out.sp.int <- sfMsPGOcc(occ.formula = ~ scale(elev) +
                               scale(border_dist) * 
                               scale(FLII) , 
               det.formula = ~ scale(effort), # Ordinal.day + I(Ordinal.day^2) + Year,            
                      data = data_list, 
                      n.omp.threads = 6,
                      n.batch = 500, 
                      batch.length = 40, # iter=600*25
                      n.thin = 10, 
                      n.burn = 10000, 
                      n.chains = 3,
                      NNGP = TRUE,
                      n.factors = 3, # balance of rare sp. and run time
                      n.neighbors = 8,
                      cov.model = 'exponential',
                      n.report = 1000);beep(sound = 4)
----------------------------------------
    Preparing to run the model
----------------------------------------
No prior specified for beta.comm.normal.
Setting prior mean to 0 and prior variance to 2.72
No prior specified for alpha.comm.normal.
Setting prior mean to 0 and prior variance to 2.72
No prior specified for tau.sq.beta.
Using an inverse-Gamma prior with prior shape 0.1 and prior scale 0.1
No prior specified for tau.sq.alpha.
Using an inverse-Gamma prior with prior shape 0.1 and prior scale 0.1
No prior specified for phi.unif.
Setting uniform bounds based on the range of observed spatial coordinates.
z is not specified in initial values.
Setting initial values based on observed data
beta.comm is not specified in initial values.
Setting initial values to random values from the prior distribution
alpha.comm is not specified in initial values.
Setting initial values to random values from the prior distribution
tau.sq.beta is not specified in initial values.
Setting initial values to random values between 0.5 and 10
tau.sq.alpha is not specified in initial values.
Setting initial values to random values between 0.5 and 10
beta is not specified in initial values.
Setting initial values to random values from the community-level normal distribution
alpha is not specified in initial values.
Setting initial values to random values from the community-level normal distribution
phi is not specified in initial values.
Setting initial value to random values from the prior distribution
lambda is not specified in initial values.
Setting initial values of the lower triangle to 0
----------------------------------------
    Building the neighbor list
----------------------------------------
----------------------------------------
Building the neighbors of neighbors list
----------------------------------------
----------------------------------------
    Model description
----------------------------------------
Spatial Factor NNGP Multi-species Occupancy Model with Polya-Gamma latent
variable fit with 58 sites and 11 species.

Samples per chain: 20000 (500 batches of length 40)
Burn-in: 10000 
Thinning Rate: 10 
Number of Chains: 3 
Total Posterior Samples: 3000 

Using the exponential spatial correlation model.

Using 3 latent spatial factors.
Using 8 nearest neighbors.

Source compiled with OpenMP support and model fit using 6 thread(s).

Adaptive Metropolis with target acceptance rate: 43.0
----------------------------------------
    Chain 1
----------------------------------------
Sampling ... 
Batch: 500 of 500, 100.00%
----------------------------------------
    Chain 2
----------------------------------------
Sampling ... 
Batch: 500 of 500, 100.00%
----------------------------------------
    Chain 3
----------------------------------------
Sampling ... 
Batch: 500 of 500, 100.00%
Code
tictoc::toc()
151.11 sec elapsed
Code
#########################
#########################
# Fit a Spatial Factor Multi-Species Occupancy Model
# latent spatial factors.
tictoc::tic()
  out.int <- msPGOcc(occ.formula = ~ scale(elev) +
                               scale(border_dist) * 
                               scale(FLII) , 
               det.formula = ~ scale(effort), # Ordinal.day + I(Ordinal.day^2) + Year,            
                      data = data_list, 
                      n.omp.threads = 6,
                      #n.batch = 500, 
                      #batch.length = 40, # iter=600*25
                      n.samples = 20000, 
                      n.thin = 10, 
                      n.burn = 10000, 
                      n.chains = 3,
                      NNGP = TRUE,
                      n.factors = 3, # balance of rare sp. and run time
                      n.neighbors = 8,
                      cov.model = 'exponential',
                      n.report = 1000);beep(sound = 4)
----------------------------------------
    Preparing to run the model
----------------------------------------
Warning in msPGOcc(occ.formula = ~scale(elev) + scale(border_dist) *
scale(FLII), : 'NNGP' is not an argument
Warning in msPGOcc(occ.formula = ~scale(elev) + scale(border_dist) *
scale(FLII), : 'n.factors' is not an argument
Warning in msPGOcc(occ.formula = ~scale(elev) + scale(border_dist) *
scale(FLII), : 'n.neighbors' is not an argument
Warning in msPGOcc(occ.formula = ~scale(elev) + scale(border_dist) *
scale(FLII), : 'cov.model' is not an argument
No prior specified for beta.comm.normal.
Setting prior mean to 0 and prior variance to 2.72
No prior specified for alpha.comm.normal.
Setting prior mean to 0 and prior variance to 2.72
No prior specified for tau.sq.beta.ig.
Setting prior shape to 0.1 and prior scale to 0.1
No prior specified for tau.sq.alpha.ig.
Setting prior shape to 0.1 and prior scale to 0.1
z is not specified in initial values.
Setting initial values based on observed data
beta.comm is not specified in initial values.
Setting initial values to random values from the prior distribution
alpha.comm is not specified in initial values.
Setting initial values to random values from the prior distribution
tau.sq.beta is not specified in initial values.
Setting initial values to random values between 0.5 and 10
tau.sq.alpha is not specified in initial values.
Setting to initial values to random values between 0.5 and 10
beta is not specified in initial values.
Setting initial values to random values from the community-level normal distribution
alpha is not specified in initial values.
Setting initial values to random values from the community-level normal distribution
----------------------------------------
    Model description
----------------------------------------
Multi-species Occupancy Model with Polya-Gamma latent
variable fit with 58 sites and 11 species.

Samples per Chain: 20000 
Burn-in: 10000 
Thinning Rate: 10 
Number of Chains: 3 
Total Posterior Samples: 3000 

Source compiled with OpenMP support and model fit using 6 thread(s).

----------------------------------------
    Chain 1
----------------------------------------
Sampling ... 
Sampled: 1000 of 20000, 5.00%
-------------------------------------------------
Sampled: 2000 of 20000, 10.00%
-------------------------------------------------
Sampled: 3000 of 20000, 15.00%
-------------------------------------------------
Sampled: 4000 of 20000, 20.00%
-------------------------------------------------
Sampled: 5000 of 20000, 25.00%
-------------------------------------------------
Sampled: 6000 of 20000, 30.00%
-------------------------------------------------
Sampled: 7000 of 20000, 35.00%
-------------------------------------------------
Sampled: 8000 of 20000, 40.00%
-------------------------------------------------
Sampled: 9000 of 20000, 45.00%
-------------------------------------------------
Sampled: 10000 of 20000, 50.00%
-------------------------------------------------
Sampled: 11000 of 20000, 55.00%
-------------------------------------------------
Sampled: 12000 of 20000, 60.00%
-------------------------------------------------
Sampled: 13000 of 20000, 65.00%
-------------------------------------------------
Sampled: 14000 of 20000, 70.00%
-------------------------------------------------
Sampled: 15000 of 20000, 75.00%
-------------------------------------------------
Sampled: 16000 of 20000, 80.00%
-------------------------------------------------
Sampled: 17000 of 20000, 85.00%
-------------------------------------------------
Sampled: 18000 of 20000, 90.00%
-------------------------------------------------
Sampled: 19000 of 20000, 95.00%
-------------------------------------------------
Sampled: 20000 of 20000, 100.00%
----------------------------------------
    Chain 2
----------------------------------------
Sampling ... 
Sampled: 1000 of 20000, 5.00%
-------------------------------------------------
Sampled: 2000 of 20000, 10.00%
-------------------------------------------------
Sampled: 3000 of 20000, 15.00%
-------------------------------------------------
Sampled: 4000 of 20000, 20.00%
-------------------------------------------------
Sampled: 5000 of 20000, 25.00%
-------------------------------------------------
Sampled: 6000 of 20000, 30.00%
-------------------------------------------------
Sampled: 7000 of 20000, 35.00%
-------------------------------------------------
Sampled: 8000 of 20000, 40.00%
-------------------------------------------------
Sampled: 9000 of 20000, 45.00%
-------------------------------------------------
Sampled: 10000 of 20000, 50.00%
-------------------------------------------------
Sampled: 11000 of 20000, 55.00%
-------------------------------------------------
Sampled: 12000 of 20000, 60.00%
-------------------------------------------------
Sampled: 13000 of 20000, 65.00%
-------------------------------------------------
Sampled: 14000 of 20000, 70.00%
-------------------------------------------------
Sampled: 15000 of 20000, 75.00%
-------------------------------------------------
Sampled: 16000 of 20000, 80.00%
-------------------------------------------------
Sampled: 17000 of 20000, 85.00%
-------------------------------------------------
Sampled: 18000 of 20000, 90.00%
-------------------------------------------------
Sampled: 19000 of 20000, 95.00%
-------------------------------------------------
Sampled: 20000 of 20000, 100.00%
----------------------------------------
    Chain 3
----------------------------------------
Sampling ... 
Sampled: 1000 of 20000, 5.00%
-------------------------------------------------
Sampled: 2000 of 20000, 10.00%
-------------------------------------------------
Sampled: 3000 of 20000, 15.00%
-------------------------------------------------
Sampled: 4000 of 20000, 20.00%
-------------------------------------------------
Sampled: 5000 of 20000, 25.00%
-------------------------------------------------
Sampled: 6000 of 20000, 30.00%
-------------------------------------------------
Sampled: 7000 of 20000, 35.00%
-------------------------------------------------
Sampled: 8000 of 20000, 40.00%
-------------------------------------------------
Sampled: 9000 of 20000, 45.00%
-------------------------------------------------
Sampled: 10000 of 20000, 50.00%
-------------------------------------------------
Sampled: 11000 of 20000, 55.00%
-------------------------------------------------
Sampled: 12000 of 20000, 60.00%
-------------------------------------------------
Sampled: 13000 of 20000, 65.00%
-------------------------------------------------
Sampled: 14000 of 20000, 70.00%
-------------------------------------------------
Sampled: 15000 of 20000, 75.00%
-------------------------------------------------
Sampled: 16000 of 20000, 80.00%
-------------------------------------------------
Sampled: 17000 of 20000, 85.00%
-------------------------------------------------
Sampled: 18000 of 20000, 90.00%
-------------------------------------------------
Sampled: 19000 of 20000, 95.00%
-------------------------------------------------
Sampled: 20000 of 20000, 100.00%
Code
tictoc::toc()
80.1 sec elapsed
Code
#########################


tictoc::tic()
  out.sp.cat <- sfMsPGOcc(occ.formula = ~ scale(elev) +
                               factor(in_AP) + 
                               scale(FLII) , 
               det.formula = ~ scale(effort), # Ordinal.day + I(Ordinal.day^2) + Year,            
                      data = data_list, 
                      n.omp.threads = 6,
                      n.batch = 600, 
                      batch.length = 25, # iter=600*25
                      n.thin = 10, 
                      n.burn = 5000, 
                      n.chains = 3,
                      NNGP = TRUE,
                      n.factors = 3, # balance of rare sp. and run time
                      n.neighbors = 8,
                      cov.model = 'exponential',
                      n.report = 1000);beep(sound = 4)
----------------------------------------
    Preparing to run the model
----------------------------------------
No prior specified for beta.comm.normal.
Setting prior mean to 0 and prior variance to 2.72
No prior specified for alpha.comm.normal.
Setting prior mean to 0 and prior variance to 2.72
No prior specified for tau.sq.beta.
Using an inverse-Gamma prior with prior shape 0.1 and prior scale 0.1
No prior specified for tau.sq.alpha.
Using an inverse-Gamma prior with prior shape 0.1 and prior scale 0.1
No prior specified for phi.unif.
Setting uniform bounds based on the range of observed spatial coordinates.
z is not specified in initial values.
Setting initial values based on observed data
beta.comm is not specified in initial values.
Setting initial values to random values from the prior distribution
alpha.comm is not specified in initial values.
Setting initial values to random values from the prior distribution
tau.sq.beta is not specified in initial values.
Setting initial values to random values between 0.5 and 10
tau.sq.alpha is not specified in initial values.
Setting initial values to random values between 0.5 and 10
beta is not specified in initial values.
Setting initial values to random values from the community-level normal distribution
alpha is not specified in initial values.
Setting initial values to random values from the community-level normal distribution
phi is not specified in initial values.
Setting initial value to random values from the prior distribution
lambda is not specified in initial values.
Setting initial values of the lower triangle to 0
----------------------------------------
    Building the neighbor list
----------------------------------------
----------------------------------------
Building the neighbors of neighbors list
----------------------------------------
----------------------------------------
    Model description
----------------------------------------
Spatial Factor NNGP Multi-species Occupancy Model with Polya-Gamma latent
variable fit with 58 sites and 11 species.

Samples per chain: 15000 (600 batches of length 25)
Burn-in: 5000 
Thinning Rate: 10 
Number of Chains: 3 
Total Posterior Samples: 3000 

Using the exponential spatial correlation model.

Using 3 latent spatial factors.
Using 8 nearest neighbors.

Source compiled with OpenMP support and model fit using 6 thread(s).

Adaptive Metropolis with target acceptance rate: 43.0
----------------------------------------
    Chain 1
----------------------------------------
Sampling ... 
Batch: 600 of 600, 100.00%
----------------------------------------
    Chain 2
----------------------------------------
Sampling ... 
Batch: 600 of 600, 100.00%
----------------------------------------
    Chain 3
----------------------------------------
Sampling ... 
Batch: 600 of 600, 100.00%
Code
tictoc::toc()
106.31 sec elapsed
Code
#########################
tictoc::tic()
  out.sp.cat.int <- sfMsPGOcc(occ.formula = ~ scale(elev) +
                               factor(in_AP) * scale(FLII) + 
                               scale(FLII), 
               det.formula = ~ scale(effort), # Ordinal.day + I(Ordinal.day^2) + Year,            
                      data = data_list, 
                      n.omp.threads = 6,
                      n.batch = 600, 
                      batch.length = 25, # iter=600*25
                      n.thin = 10, 
                      n.burn = 5000, 
                      n.chains = 3,
                      NNGP = TRUE,
                      n.factors = 3, # balance of rare sp. and run time
                      n.neighbors = 8,
                      cov.model = 'exponential',
                      n.report = 1000);beep(sound = 4)
----------------------------------------
    Preparing to run the model
----------------------------------------
No prior specified for beta.comm.normal.
Setting prior mean to 0 and prior variance to 2.72
No prior specified for alpha.comm.normal.
Setting prior mean to 0 and prior variance to 2.72
No prior specified for tau.sq.beta.
Using an inverse-Gamma prior with prior shape 0.1 and prior scale 0.1
No prior specified for tau.sq.alpha.
Using an inverse-Gamma prior with prior shape 0.1 and prior scale 0.1
No prior specified for phi.unif.
Setting uniform bounds based on the range of observed spatial coordinates.
z is not specified in initial values.
Setting initial values based on observed data
beta.comm is not specified in initial values.
Setting initial values to random values from the prior distribution
alpha.comm is not specified in initial values.
Setting initial values to random values from the prior distribution
tau.sq.beta is not specified in initial values.
Setting initial values to random values between 0.5 and 10
tau.sq.alpha is not specified in initial values.
Setting initial values to random values between 0.5 and 10
beta is not specified in initial values.
Setting initial values to random values from the community-level normal distribution
alpha is not specified in initial values.
Setting initial values to random values from the community-level normal distribution
phi is not specified in initial values.
Setting initial value to random values from the prior distribution
lambda is not specified in initial values.
Setting initial values of the lower triangle to 0
----------------------------------------
    Building the neighbor list
----------------------------------------
----------------------------------------
Building the neighbors of neighbors list
----------------------------------------
----------------------------------------
    Model description
----------------------------------------
Spatial Factor NNGP Multi-species Occupancy Model with Polya-Gamma latent
variable fit with 58 sites and 11 species.

Samples per chain: 15000 (600 batches of length 25)
Burn-in: 5000 
Thinning Rate: 10 
Number of Chains: 3 
Total Posterior Samples: 3000 

Using the exponential spatial correlation model.

Using 3 latent spatial factors.
Using 8 nearest neighbors.

Source compiled with OpenMP support and model fit using 6 thread(s).

Adaptive Metropolis with target acceptance rate: 43.0
----------------------------------------
    Chain 1
----------------------------------------
Sampling ... 
Batch: 600 of 600, 100.00%
----------------------------------------
    Chain 2
----------------------------------------
Sampling ... 
Batch: 600 of 600, 100.00%
----------------------------------------
    Chain 3
----------------------------------------
Sampling ... 
Batch: 600 of 600, 100.00%
Code
tictoc::toc()
112.05 sec elapsed
Code
# tictoc::tic()
#   out.sp.gaus <- sfMsPGOcc(occ.formula = ~ scale(border_dist) , 
#                            det.formula = ~ scale(effort), # Ordinal.day + I(Ordinal.day^2) + Year,              
#                            data = data_list, 
#                            n.batch = 400, 
#                            batch.length = 25,
#                            n.thin = 5, 
#                            n.burn = 5000, 
#                            n.chains = 1,
#                            NNGP = TRUE,
#                            n.factors = 5,
#                            n.neighbors = 15,
#                            cov.model = 'gaussian',
#                            n.report = 100);beep(sound = 4)
# tictoc::toc()

# save the results to not run again
# save(out, file="C:/CodigoR/Occu_APs_all/blog/2025-10-15-analysis/result/result_2.R") # guardamos los resultados para no correr de nuevo
# save the results to not run again
# save(out.sp, file="C:/CodigoR/Occu_APs_all/blog/2025-10-15-analysis/result/sp_result_2.R") # guardamos los resultados para no correr de nuevo

# save(out.lfMs, file="C:/CodigoR/Occu_APs_all/blog/2025-10-15-analysis/result/lfms_result_2.R") # guardamos los resultados para no correr de nuevo


# load("C:/CodigoR/Occu_APs_all/blog/2025-10-15-analysis/result/sp_result_2.R")
# summary(fit.commu)

Model validation

We next perform a posterior predictive check using the Freeman-Tukey statistic grouping the data by sites. We summarize the posterior predictive check with the summary() function, which reports a Bayesian p-value. A Bayesian p-value that hovers around 0.5 indicates adequate model fit, while values less than 0.1 or greater than 0.9 suggest our model does not fit the data well (Hobbs and Hooten 2015). As always with a simulation-based analysis using MCMC, you will get numerically slightly different values.

Code
# 3. Model validation -----------------------------------------------------
# Perform a posterior predictive check to assess model fit. 
ppc.out <- ppcOcc(out.null, fit.stat = 'freeman-tukey', 
                  group = 1)
ppc.out.lfMs <- ppcOcc(out.lfMs, fit.stat = 'freeman-tukey', 
                  group = 1)
ppc.out.sp <- ppcOcc(out.sp, fit.stat = 'freeman-tukey',
                     group = 1)
ppc.out.sp.int <- ppcOcc(out.sp.int, fit.stat = 'freeman-tukey',
                     group = 1)

# Calculate a Bayesian p-value as a simple measure of Goodness of Fit.
# Bayesian p-values between 0.1 and 0.9 indicate adequate model fit. 
summary(ppc.out)

Call:
ppcOcc(object = out.null, fit.stat = "freeman-tukey", group = 1)

Samples per Chain: 6000
Burn-in: 1000
Thinning Rate: 10
Number of Chains: 3
Total Posterior Samples: 1500

----------------------------------------
    Community Level
----------------------------------------
Bayesian p-value:  0.4611 

----------------------------------------
    Species Level
----------------------------------------
Cuniculus paca Bayesian p-value: 0.2547
Dasyprocta punctata Bayesian p-value: 0.5247
Dasypus novemcinctus Bayesian p-value: 0.1933
Eira barbara Bayesian p-value: 0.32
Leopardus pardalis Bayesian p-value: 0.4993
Leopardus wiedii Bayesian p-value: 0.59
Odocoileus virginianus Bayesian p-value: 0.576
Procyon cancrivorus Bayesian p-value: 0.614
Puma yagouaroundi Bayesian p-value: 0.284
Sciurus stramineus Bayesian p-value: 0.6727
Sylvilagus brasiliensis Bayesian p-value: 0.5433
Fit statistic:  freeman-tukey 
Code
summary(ppc.out.lfMs)

Call:
ppcOcc(object = out.lfMs, fit.stat = "freeman-tukey", group = 1)

Samples per Chain: 6000
Burn-in: 1000
Thinning Rate: 10
Number of Chains: 3
Total Posterior Samples: 1500

----------------------------------------
    Community Level
----------------------------------------
Bayesian p-value:  0.4618 

----------------------------------------
    Species Level
----------------------------------------
Cuniculus paca Bayesian p-value: 0.212
Dasyprocta punctata Bayesian p-value: 0.532
Dasypus novemcinctus Bayesian p-value: 0.196
Eira barbara Bayesian p-value: 0.3093
Leopardus pardalis Bayesian p-value: 0.488
Leopardus wiedii Bayesian p-value: 0.5913
Odocoileus virginianus Bayesian p-value: 0.596
Procyon cancrivorus Bayesian p-value: 0.624
Puma yagouaroundi Bayesian p-value: 0.3087
Sciurus stramineus Bayesian p-value: 0.6893
Sylvilagus brasiliensis Bayesian p-value: 0.5333
Fit statistic:  freeman-tukey 
Code
summary(ppc.out.sp)

Call:
ppcOcc(object = out.sp, fit.stat = "freeman-tukey", group = 1)

Samples per Chain: 20000
Burn-in: 10000
Thinning Rate: 10
Number of Chains: 3
Total Posterior Samples: 3000

----------------------------------------
    Community Level
----------------------------------------
Bayesian p-value:  0.4562 

----------------------------------------
    Species Level
----------------------------------------
Cuniculus paca Bayesian p-value: 0.186
Dasyprocta punctata Bayesian p-value: 0.4767
Dasypus novemcinctus Bayesian p-value: 0.156
Eira barbara Bayesian p-value: 0.2593
Leopardus pardalis Bayesian p-value: 0.5193
Leopardus wiedii Bayesian p-value: 0.556
Odocoileus virginianus Bayesian p-value: 0.622
Procyon cancrivorus Bayesian p-value: 0.6267
Puma yagouaroundi Bayesian p-value: 0.3493
Sciurus stramineus Bayesian p-value: 0.6953
Sylvilagus brasiliensis Bayesian p-value: 0.572
Fit statistic:  freeman-tukey 
Code
summary(out.sp.int)

Call:
sfMsPGOcc(occ.formula = ~scale(elev) + scale(border_dist) * scale(FLII), 
    det.formula = ~scale(effort), data = data_list, cov.model = "exponential", 
    NNGP = TRUE, n.neighbors = 8, n.factors = 3, n.batch = 500, 
    batch.length = 40, n.omp.threads = 6, n.report = 1000, n.burn = 10000, 
    n.thin = 10, n.chains = 3)

Samples per Chain: 20000
Burn-in: 10000
Thinning Rate: 10
Number of Chains: 3
Total Posterior Samples: 3000
Run Time (min): 2.5177

----------------------------------------
    Community Level
----------------------------------------
Occurrence Means (logit scale): 
                                  Mean     SD    2.5%     50%  97.5%   Rhat ESS
(Intercept)                    -0.4794 1.4654 -2.8388 -0.7173 2.6566 1.7907  72
scale(elev)                     0.6108 1.3224 -2.0450  0.6681 3.2024 1.0443 531
scale(border_dist)              0.5208 1.2833 -2.2459  0.5734 3.0037 1.1638 375
scale(FLII)                     1.1002 1.1689 -1.3867  1.1148 3.3495 1.1201 196
scale(border_dist):scale(FLII)  0.3811 1.1441 -2.2577  0.5007 2.4676 1.2048 173

Occurrence Variances (logit scale): 
                                   Mean       SD   2.5%     50%     97.5%
(Intercept)                     14.9545  63.4649 0.0550  1.0109  142.0094
scale(elev)                    171.2146 383.6185 0.1292 19.6071 1318.1179
scale(border_dist)              25.8363  83.9536 0.0696  2.1895  217.5438
scale(FLII)                     25.9589 126.2545 0.0612  0.9839  356.1950
scale(border_dist):scale(FLII)   7.4381  20.5176 0.0556  0.9613   58.3632
                                 Rhat ESS
(Intercept)                    3.3461  42
scale(elev)                    5.1056  14
scale(border_dist)             1.8172  51
scale(FLII)                    3.3087  32
scale(border_dist):scale(FLII) 1.3509 152

Detection Means (logit scale): 
                 Mean     SD    2.5%     50%   97.5%   Rhat ESS
(Intercept)   -3.6887 0.5343 -4.6378 -3.7343 -2.5203 1.3738  91
scale(effort)  0.8042 0.4157  0.1110  0.7612  1.7304 1.0217 798

Detection Variances (logit scale): 
                Mean     SD   2.5%    50%  97.5%   Rhat  ESS
(Intercept)   0.9839 0.9431 0.1104 0.7271 3.2369 1.0424  882
scale(effort) 0.3428 0.4330 0.0397 0.2026 1.4615 1.0242 1604

----------------------------------------
    Species Level
----------------------------------------
Occurrence (logit scale): 
                                                          Mean      SD     2.5%
(Intercept)-Cuniculus paca                              0.4944  4.0565  -2.8033
(Intercept)-Dasyprocta punctata                         0.0392  3.6378  -3.8860
(Intercept)-Dasypus novemcinctus                       -0.0776  3.1098  -4.6458
(Intercept)-Eira barbara                               -0.1146  3.7115  -5.1236
(Intercept)-Leopardus pardalis                         -1.2406  4.0034  -9.8816
(Intercept)-Leopardus wiedii                            1.1710  5.8379  -3.1117
(Intercept)-Odocoileus virginianus                     -0.4806  3.1145  -5.4339
(Intercept)-Procyon cancrivorus                        -0.8094  2.7403  -6.5771
(Intercept)-Puma yagouaroundi                          -0.2287  3.6738  -5.3190
(Intercept)-Sciurus stramineus                         -0.5965  3.6496  -6.4208
(Intercept)-Sylvilagus brasiliensis                    -1.2360  3.1347  -8.4734
scale(elev)-Cuniculus paca                              1.5065  2.4637  -2.3020
scale(elev)-Dasyprocta punctata                         8.5857 12.9428  -1.3877
scale(elev)-Dasypus novemcinctus                        7.1463  8.1093  -0.5409
scale(elev)-Eira barbara                                9.5837 11.8735  -0.5529
scale(elev)-Leopardus pardalis                         -7.3993 11.0051 -40.4094
scale(elev)-Leopardus wiedii                            0.0460  5.8615 -11.3472
scale(elev)-Odocoileus virginianus                     -3.7736  6.9312 -24.8624
scale(elev)-Procyon cancrivorus                         5.2491  8.7024  -3.9199
scale(elev)-Puma yagouaroundi                           7.4180 15.6852  -5.1692
scale(elev)-Sciurus stramineus                          3.3649  9.7441 -11.8246
scale(elev)-Sylvilagus brasiliensis                    -7.0838 10.6550 -39.6687
scale(border_dist)-Cuniculus paca                       1.6095  2.2913  -2.4363
scale(border_dist)-Dasyprocta punctata                 -1.1032  6.4572 -13.3413
scale(border_dist)-Dasypus novemcinctus                -1.1256  4.3256 -13.9720
scale(border_dist)-Eira barbara                        -0.0825  4.5339 -11.0961
scale(border_dist)-Leopardus pardalis                   1.6907  5.7573  -8.2273
scale(border_dist)-Leopardus wiedii                     1.9755  3.8028  -3.2989
scale(border_dist)-Odocoileus virginianus               2.4277  5.3901  -3.2342
scale(border_dist)-Procyon cancrivorus                  1.1788  3.7457  -5.9630
scale(border_dist)-Puma yagouaroundi                   -0.5335  4.6071 -13.7756
scale(border_dist)-Sciurus stramineus                  -1.4180  4.5053 -14.5438
scale(border_dist)-Sylvilagus brasiliensis              2.0342  4.6485  -4.1684
scale(FLII)-Cuniculus paca                              3.1206  5.1956  -0.5264
scale(FLII)-Dasyprocta punctata                         2.2048  4.7522  -2.6829
scale(FLII)-Dasypus novemcinctus                        1.8981  4.1868  -3.1341
scale(FLII)-Eira barbara                                0.9488  3.3211  -4.9388
scale(FLII)-Leopardus pardalis                          0.1300  4.8545 -12.6087
scale(FLII)-Leopardus wiedii                           -0.1683  5.5222 -18.5673
scale(FLII)-Odocoileus virginianus                      0.5179  4.0251 -10.5747
scale(FLII)-Procyon cancrivorus                         2.0760  4.7991  -3.0166
scale(FLII)-Puma yagouaroundi                           1.5572  3.9832  -6.1839
scale(FLII)-Sciurus stramineus                          1.2325  3.6188  -8.5028
scale(FLII)-Sylvilagus brasiliensis                     0.0117  5.9856 -19.1786
scale(border_dist):scale(FLII)-Cuniculus paca           0.7643  2.3124  -5.0621
scale(border_dist):scale(FLII)-Dasyprocta punctata      0.3984  2.7119  -5.7165
scale(border_dist):scale(FLII)-Dasypus novemcinctus     0.3548  2.2092  -5.0076
scale(border_dist):scale(FLII)-Eira barbara             0.0103  2.5631  -6.3045
scale(border_dist):scale(FLII)-Leopardus pardalis       0.1161  2.8148  -7.1582
scale(border_dist):scale(FLII)-Leopardus wiedii         0.1306  2.8449  -7.7376
scale(border_dist):scale(FLII)-Odocoileus virginianus   0.8288  2.9916  -5.2383
scale(border_dist):scale(FLII)-Procyon cancrivorus      0.6092  2.7845  -6.5080
scale(border_dist):scale(FLII)-Puma yagouaroundi        0.4121  2.8303  -5.8865
scale(border_dist):scale(FLII)-Sciurus stramineus      -0.3218  2.7363  -7.5517
scale(border_dist):scale(FLII)-Sylvilagus brasiliensis  0.7921  2.8481  -5.0956
                                                           50%   97.5%   Rhat
(Intercept)-Cuniculus paca                             -0.6751 13.8929 3.8728
(Intercept)-Dasyprocta punctata                        -0.6584  7.9748 2.0975
(Intercept)-Dasypus novemcinctus                       -0.6377  8.3453 1.8404
(Intercept)-Eira barbara                               -0.6157  7.6861 1.8360
(Intercept)-Leopardus pardalis                         -1.1060  4.7864 1.2771
(Intercept)-Leopardus wiedii                           -0.2911 17.4064 3.5008
(Intercept)-Odocoileus virginianus                     -0.9942  8.0258 1.9868
(Intercept)-Procyon cancrivorus                        -1.0288  5.1292 1.2197
(Intercept)-Puma yagouaroundi                          -0.9526 10.9735 2.6297
(Intercept)-Sciurus stramineus                         -0.9763  6.9703 1.5227
(Intercept)-Sylvilagus brasiliensis                    -1.1457  3.8771 1.1978
scale(elev)-Cuniculus paca                              1.3409  7.0541 1.3009
scale(elev)-Dasyprocta punctata                         3.3439 46.7022 4.1082
scale(elev)-Dasypus novemcinctus                        4.0916 29.7575 2.4044
scale(elev)-Eira barbara                                4.9809 43.5860 3.2075
scale(elev)-Leopardus pardalis                         -3.5451  2.4391 3.0660
scale(elev)-Leopardus wiedii                            0.3144 10.8539 1.2358
scale(elev)-Odocoileus virginianus                     -1.9061  4.6362 1.1812
scale(elev)-Procyon cancrivorus                         2.3482 31.7520 3.0728
scale(elev)-Puma yagouaroundi                           1.9231 56.7560 5.9182
scale(elev)-Sciurus stramineus                          1.3962 30.9629 1.5776
scale(elev)-Sylvilagus brasiliensis                    -3.2350  2.5201 3.2983
scale(border_dist)-Cuniculus paca                       1.3385  7.2158 1.0824
scale(border_dist)-Dasyprocta punctata                  0.1867  4.1492 1.5576
scale(border_dist)-Dasypus novemcinctus                -0.1146  4.1340 1.0629
scale(border_dist)-Eira barbara                         0.2648  8.5176 1.0720
scale(border_dist)-Leopardus pardalis                   1.1435 16.0736 1.2837
scale(border_dist)-Leopardus wiedii                     1.3505 11.4883 1.1464
scale(border_dist)-Odocoileus virginianus               1.2152 15.3475 1.1031
scale(border_dist)-Procyon cancrivorus                  0.9522 10.1600 1.0746
scale(border_dist)-Puma yagouaroundi                    0.3284  5.7760 1.4658
scale(border_dist)-Sciurus stramineus                  -0.2273  3.4346 1.3742
scale(border_dist)-Sylvilagus brasiliensis              1.1627 13.9491 1.0996
scale(FLII)-Cuniculus paca                              1.8188 23.2543 3.7015
scale(FLII)-Dasyprocta punctata                         1.4303 16.7283 2.2936
scale(FLII)-Dasypus novemcinctus                        1.4025 12.2826 1.7446
scale(FLII)-Eira barbara                                0.9913  6.8760 1.2159
scale(FLII)-Leopardus pardalis                          0.8202  5.5555 1.7198
scale(FLII)-Leopardus wiedii                            0.9567  4.6609 3.0697
scale(FLII)-Odocoileus virginianus                      1.0828  5.4673 1.8819
scale(FLII)-Procyon cancrivorus                         1.2960 15.2894 2.3704
scale(FLII)-Puma yagouaroundi                           1.4612  8.7588 1.2498
scale(FLII)-Sciurus stramineus                          1.3841  8.1998 1.4935
scale(FLII)-Sylvilagus brasiliensis                     0.9813  5.1049 2.4387
scale(border_dist):scale(FLII)-Cuniculus paca           0.8942  4.3800 1.5405
scale(border_dist):scale(FLII)-Dasyprocta punctata      0.5557  5.6159 1.0507
scale(border_dist):scale(FLII)-Dasypus novemcinctus     0.5264  4.4546 1.1128
scale(border_dist):scale(FLII)-Eira barbara             0.3559  3.7392 1.1091
scale(border_dist):scale(FLII)-Leopardus pardalis       0.4609  4.4560 1.1766
scale(border_dist):scale(FLII)-Leopardus wiedii         0.5222  4.9243 1.1880
scale(border_dist):scale(FLII)-Odocoileus virginianus   0.7532  7.8079 1.1599
scale(border_dist):scale(FLII)-Procyon cancrivorus      0.7405  6.0159 1.0780
scale(border_dist):scale(FLII)-Puma yagouaroundi        0.6412  5.0130 1.1925
scale(border_dist):scale(FLII)-Sciurus stramineus       0.2213  3.3062 1.1191
scale(border_dist):scale(FLII)-Sylvilagus brasiliensis  0.7363  7.3207 1.0661
                                                       ESS
(Intercept)-Cuniculus paca                              22
(Intercept)-Dasyprocta punctata                         49
(Intercept)-Dasypus novemcinctus                        67
(Intercept)-Eira barbara                               154
(Intercept)-Leopardus pardalis                         212
(Intercept)-Leopardus wiedii                            28
(Intercept)-Odocoileus virginianus                      32
(Intercept)-Procyon cancrivorus                        115
(Intercept)-Puma yagouaroundi                           38
(Intercept)-Sciurus stramineus                          83
(Intercept)-Sylvilagus brasiliensis                    150
scale(elev)-Cuniculus paca                             228
scale(elev)-Dasyprocta punctata                         12
scale(elev)-Dasypus novemcinctus                        27
scale(elev)-Eira barbara                                10
scale(elev)-Leopardus pardalis                          25
scale(elev)-Leopardus wiedii                            76
scale(elev)-Odocoileus virginianus                      72
scale(elev)-Procyon cancrivorus                         34
scale(elev)-Puma yagouaroundi                           14
scale(elev)-Sciurus stramineus                          53
scale(elev)-Sylvilagus brasiliensis                     18
scale(border_dist)-Cuniculus paca                       73
scale(border_dist)-Dasyprocta punctata                  79
scale(border_dist)-Dasypus novemcinctus                110
scale(border_dist)-Eira barbara                        116
scale(border_dist)-Leopardus pardalis                   55
scale(border_dist)-Leopardus wiedii                     76
scale(border_dist)-Odocoileus virginianus              116
scale(border_dist)-Procyon cancrivorus                 177
scale(border_dist)-Puma yagouaroundi                    49
scale(border_dist)-Sciurus stramineus                   64
scale(border_dist)-Sylvilagus brasiliensis             132
scale(FLII)-Cuniculus paca                              21
scale(FLII)-Dasyprocta punctata                         37
scale(FLII)-Dasypus novemcinctus                        46
scale(FLII)-Eira barbara                               905
scale(FLII)-Leopardus pardalis                          59
scale(FLII)-Leopardus wiedii                            19
scale(FLII)-Odocoileus virginianus                      31
scale(FLII)-Procyon cancrivorus                        107
scale(FLII)-Puma yagouaroundi                          104
scale(FLII)-Sciurus stramineus                          77
scale(FLII)-Sylvilagus brasiliensis                     27
scale(border_dist):scale(FLII)-Cuniculus paca          134
scale(border_dist):scale(FLII)-Dasyprocta punctata     206
scale(border_dist):scale(FLII)-Dasypus novemcinctus    259
scale(border_dist):scale(FLII)-Eira barbara            208
scale(border_dist):scale(FLII)-Leopardus pardalis      266
scale(border_dist):scale(FLII)-Leopardus wiedii        102
scale(border_dist):scale(FLII)-Odocoileus virginianus  144
scale(border_dist):scale(FLII)-Procyon cancrivorus     131
scale(border_dist):scale(FLII)-Puma yagouaroundi       120
scale(border_dist):scale(FLII)-Sciurus stramineus      127
scale(border_dist):scale(FLII)-Sylvilagus brasiliensis 142

Detection (logit scale): 
                                         Mean     SD    2.5%     50%   97.5%
(Intercept)-Cuniculus paca            -2.3381 0.7740 -3.6942 -2.3782 -0.8480
(Intercept)-Dasyprocta punctata       -3.7641 0.6609 -4.9893 -3.8022 -2.3449
(Intercept)-Dasypus novemcinctus      -3.1802 0.6065 -4.2788 -3.2235 -1.8464
(Intercept)-Eira barbara              -3.4366 0.6048 -4.5315 -3.4663 -2.0998
(Intercept)-Leopardus pardalis        -4.1916 0.7790 -5.8069 -4.1434 -2.7933
(Intercept)-Leopardus wiedii          -3.9693 0.7442 -5.4275 -3.9846 -2.4352
(Intercept)-Odocoileus virginianus    -4.1345 0.8282 -5.8454 -4.1252 -2.4825
(Intercept)-Procyon cancrivorus       -4.2139 0.8440 -5.9196 -4.1869 -2.5206
(Intercept)-Puma yagouaroundi         -4.1870 0.8498 -5.8408 -4.2035 -2.4805
(Intercept)-Sciurus stramineus        -4.3232 0.8148 -6.0333 -4.2952 -2.7598
(Intercept)-Sylvilagus brasiliensis   -4.1114 0.7940 -5.7233 -4.0821 -2.5316
scale(effort)-Cuniculus paca           1.1021 0.6707  0.1113  0.9945  2.7552
scale(effort)-Dasyprocta punctata      0.7763 0.5795 -0.2423  0.7266  2.0136
scale(effort)-Dasypus novemcinctus     0.5092 0.4873 -0.3972  0.4850  1.5547
scale(effort)-Eira barbara             0.8818 0.5885 -0.1114  0.8198  2.2300
scale(effort)-Leopardus pardalis       0.8087 0.6081 -0.2230  0.7571  2.1755
scale(effort)-Leopardus wiedii         0.8905 0.6283 -0.1577  0.8314  2.3372
scale(effort)-Odocoileus virginianus   0.8141 0.6285 -0.3023  0.7538  2.2415
scale(effort)-Procyon cancrivorus      0.8049 0.6394 -0.3049  0.7613  2.2456
scale(effort)-Puma yagouaroundi        0.7663 0.6114 -0.3034  0.7083  2.1899
scale(effort)-Sciurus stramineus       0.7728 0.6201 -0.3133  0.7272  2.1970
scale(effort)-Sylvilagus brasiliensis  0.8340 0.6388 -0.2393  0.7767  2.3086
                                        Rhat  ESS
(Intercept)-Cuniculus paca            1.4398   98
(Intercept)-Dasyprocta punctata       1.2061  107
(Intercept)-Dasypus novemcinctus      1.2755  122
(Intercept)-Eira barbara              1.2761  164
(Intercept)-Leopardus pardalis        1.0547  420
(Intercept)-Leopardus wiedii          1.2187  218
(Intercept)-Odocoileus virginianus    1.1779  306
(Intercept)-Procyon cancrivorus       1.1291  302
(Intercept)-Puma yagouaroundi         1.2756  161
(Intercept)-Sciurus stramineus        1.0813  370
(Intercept)-Sylvilagus brasiliensis   1.1241  322
scale(effort)-Cuniculus paca          1.0174 1097
scale(effort)-Dasyprocta punctata     1.0181 1294
scale(effort)-Dasypus novemcinctus    1.0107 1841
scale(effort)-Eira barbara            1.0167 1307
scale(effort)-Leopardus pardalis      1.0136 1197
scale(effort)-Leopardus wiedii        1.0172 1282
scale(effort)-Odocoileus virginianus  1.0095 1471
scale(effort)-Procyon cancrivorus     1.0076 1296
scale(effort)-Puma yagouaroundi       1.0228 1350
scale(effort)-Sciurus stramineus      1.0122 1204
scale(effort)-Sylvilagus brasiliensis 1.0080 1196

----------------------------------------
    Spatial Covariance
----------------------------------------
        Mean     SD  2.5%    50%  97.5%   Rhat ESS
phi-1 0.0023 0.0012 3e-04 0.0023 0.0043 1.0235 777
phi-2 0.0023 0.0012 3e-04 0.0024 0.0043 1.0044 649
phi-3 0.0023 0.0012 3e-04 0.0022 0.0043 1.0057 864
Important

A Bayesian p-value that around 0.5 indicates adequate model fit, while values less than 0.1 or greater than 0.9 suggest our model does not fit the data well.

Model comparison

Code
# 4. Model comparison -----------------------------------------------------
# Compute Widely Applicable Information Criterion (WAIC)
# Lower values indicate better model fit. 
waicOcc(out.null)
      elpd         pD       WAIC 
-139.82505   22.02788  323.70586 
Code
waicOcc(out.lfMs)
      elpd         pD       WAIC 
-140.00219   22.46704  324.93845 
Code
waicOcc(out.sp)
      elpd         pD       WAIC 
-134.56463   24.59752  318.32429 
Code
waicOcc(out.sp.cat)
     elpd        pD      WAIC 
-133.4058   26.3292  319.4701 

Model comparison as table

Code
# Here we summarize the spatial factor loadings
# summary(out.sp$lambda.samples)

# Resultados --------------------------------------------------------------
# Extraemos lo tabla de valores estimados
modresult <- cbind(as.data.frame(waicOcc(out.null)),
                  as.data.frame(waicOcc(out.sp)),
                  as.data.frame(waicOcc(out.lfMs)),
                  as.data.frame(waicOcc(out.sp.cat)),
                  as.data.frame(waicOcc(out.sp.cat.int)),
                  as.data.frame(waicOcc(out.sp.int)),
                  as.data.frame(waicOcc(out.int))
                  #as.data.frame(waicOcc(out.sp.gaus))
                  )
# View(modresult)
modresult_sorted <- as.data.frame(t(modresult)) |> 
  arrange(WAIC) # sort by
  
DT::datatable(modresult_sorted)
Important

Lower values in WAIC indicate better model fit.

WAIC is the Widely Applicable Information Criterion (Watanabe 2010).

Fit plot

Code
#### fit plot
ppc.df <- data.frame(fit = ppc.out.sp.int$fit.y, 
                     fit.rep = ppc.out.sp.int$fit.y.rep, 
                     color = 'lightskyblue1')

ppc.df$color[ppc.df$fit.rep.1 > ppc.df$fit.1] <- 'lightsalmon'
plot(ppc.df$fit.1, ppc.df$fit.rep.1, bg = ppc.df$color, pch = 21, 
     ylab = 'Fit', xlab = 'True')
lines(ppc.df$fit.1, ppc.df$fit.1, col = 'black')

The most symmetrical, better fit!

The most symmetrical, better fit!

Posterior Summary

Code
# 5. Posterior summaries --------------------------------------------------
# Concise summary of main parameter estimates
summary(out.sp.int, level = 'community')

Call:
sfMsPGOcc(occ.formula = ~scale(elev) + scale(border_dist) * scale(FLII), 
    det.formula = ~scale(effort), data = data_list, cov.model = "exponential", 
    NNGP = TRUE, n.neighbors = 8, n.factors = 3, n.batch = 500, 
    batch.length = 40, n.omp.threads = 6, n.report = 1000, n.burn = 10000, 
    n.thin = 10, n.chains = 3)

Samples per Chain: 20000
Burn-in: 10000
Thinning Rate: 10
Number of Chains: 3
Total Posterior Samples: 3000
Run Time (min): 2.5177

----------------------------------------
    Community Level
----------------------------------------
Occurrence Means (logit scale): 
                                  Mean     SD    2.5%     50%  97.5%   Rhat ESS
(Intercept)                    -0.4794 1.4654 -2.8388 -0.7173 2.6566 1.7907  72
scale(elev)                     0.6108 1.3224 -2.0450  0.6681 3.2024 1.0443 531
scale(border_dist)              0.5208 1.2833 -2.2459  0.5734 3.0037 1.1638 375
scale(FLII)                     1.1002 1.1689 -1.3867  1.1148 3.3495 1.1201 196
scale(border_dist):scale(FLII)  0.3811 1.1441 -2.2577  0.5007 2.4676 1.2048 173

Occurrence Variances (logit scale): 
                                   Mean       SD   2.5%     50%     97.5%
(Intercept)                     14.9545  63.4649 0.0550  1.0109  142.0094
scale(elev)                    171.2146 383.6185 0.1292 19.6071 1318.1179
scale(border_dist)              25.8363  83.9536 0.0696  2.1895  217.5438
scale(FLII)                     25.9589 126.2545 0.0612  0.9839  356.1950
scale(border_dist):scale(FLII)   7.4381  20.5176 0.0556  0.9613   58.3632
                                 Rhat ESS
(Intercept)                    3.3461  42
scale(elev)                    5.1056  14
scale(border_dist)             1.8172  51
scale(FLII)                    3.3087  32
scale(border_dist):scale(FLII) 1.3509 152

Detection Means (logit scale): 
                 Mean     SD    2.5%     50%   97.5%   Rhat ESS
(Intercept)   -3.6887 0.5343 -4.6378 -3.7343 -2.5203 1.3738  91
scale(effort)  0.8042 0.4157  0.1110  0.7612  1.7304 1.0217 798

Detection Variances (logit scale): 
                Mean     SD   2.5%    50%  97.5%   Rhat  ESS
(Intercept)   0.9839 0.9431 0.1104 0.7271 3.2369 1.0424  882
scale(effort) 0.3428 0.4330 0.0397 0.2026 1.4615 1.0242 1604

----------------------------------------
    Spatial Covariance
----------------------------------------
        Mean     SD  2.5%    50%  97.5%   Rhat ESS
phi-1 0.0023 0.0012 3e-04 0.0023 0.0043 1.0235 777
phi-2 0.0023 0.0012 3e-04 0.0024 0.0043 1.0044 649
phi-3 0.0023 0.0012 3e-04 0.0022 0.0043 1.0057 864
Code
summary(out.sp.int, level = 'species')

Call:
sfMsPGOcc(occ.formula = ~scale(elev) + scale(border_dist) * scale(FLII), 
    det.formula = ~scale(effort), data = data_list, cov.model = "exponential", 
    NNGP = TRUE, n.neighbors = 8, n.factors = 3, n.batch = 500, 
    batch.length = 40, n.omp.threads = 6, n.report = 1000, n.burn = 10000, 
    n.thin = 10, n.chains = 3)

Samples per Chain: 20000
Burn-in: 10000
Thinning Rate: 10
Number of Chains: 3
Total Posterior Samples: 3000
Run Time (min): 2.5177

----------------------------------------
    Species Level
----------------------------------------
Occurrence (logit scale): 
                                                          Mean      SD     2.5%
(Intercept)-Cuniculus paca                              0.4944  4.0565  -2.8033
(Intercept)-Dasyprocta punctata                         0.0392  3.6378  -3.8860
(Intercept)-Dasypus novemcinctus                       -0.0776  3.1098  -4.6458
(Intercept)-Eira barbara                               -0.1146  3.7115  -5.1236
(Intercept)-Leopardus pardalis                         -1.2406  4.0034  -9.8816
(Intercept)-Leopardus wiedii                            1.1710  5.8379  -3.1117
(Intercept)-Odocoileus virginianus                     -0.4806  3.1145  -5.4339
(Intercept)-Procyon cancrivorus                        -0.8094  2.7403  -6.5771
(Intercept)-Puma yagouaroundi                          -0.2287  3.6738  -5.3190
(Intercept)-Sciurus stramineus                         -0.5965  3.6496  -6.4208
(Intercept)-Sylvilagus brasiliensis                    -1.2360  3.1347  -8.4734
scale(elev)-Cuniculus paca                              1.5065  2.4637  -2.3020
scale(elev)-Dasyprocta punctata                         8.5857 12.9428  -1.3877
scale(elev)-Dasypus novemcinctus                        7.1463  8.1093  -0.5409
scale(elev)-Eira barbara                                9.5837 11.8735  -0.5529
scale(elev)-Leopardus pardalis                         -7.3993 11.0051 -40.4094
scale(elev)-Leopardus wiedii                            0.0460  5.8615 -11.3472
scale(elev)-Odocoileus virginianus                     -3.7736  6.9312 -24.8624
scale(elev)-Procyon cancrivorus                         5.2491  8.7024  -3.9199
scale(elev)-Puma yagouaroundi                           7.4180 15.6852  -5.1692
scale(elev)-Sciurus stramineus                          3.3649  9.7441 -11.8246
scale(elev)-Sylvilagus brasiliensis                    -7.0838 10.6550 -39.6687
scale(border_dist)-Cuniculus paca                       1.6095  2.2913  -2.4363
scale(border_dist)-Dasyprocta punctata                 -1.1032  6.4572 -13.3413
scale(border_dist)-Dasypus novemcinctus                -1.1256  4.3256 -13.9720
scale(border_dist)-Eira barbara                        -0.0825  4.5339 -11.0961
scale(border_dist)-Leopardus pardalis                   1.6907  5.7573  -8.2273
scale(border_dist)-Leopardus wiedii                     1.9755  3.8028  -3.2989
scale(border_dist)-Odocoileus virginianus               2.4277  5.3901  -3.2342
scale(border_dist)-Procyon cancrivorus                  1.1788  3.7457  -5.9630
scale(border_dist)-Puma yagouaroundi                   -0.5335  4.6071 -13.7756
scale(border_dist)-Sciurus stramineus                  -1.4180  4.5053 -14.5438
scale(border_dist)-Sylvilagus brasiliensis              2.0342  4.6485  -4.1684
scale(FLII)-Cuniculus paca                              3.1206  5.1956  -0.5264
scale(FLII)-Dasyprocta punctata                         2.2048  4.7522  -2.6829
scale(FLII)-Dasypus novemcinctus                        1.8981  4.1868  -3.1341
scale(FLII)-Eira barbara                                0.9488  3.3211  -4.9388
scale(FLII)-Leopardus pardalis                          0.1300  4.8545 -12.6087
scale(FLII)-Leopardus wiedii                           -0.1683  5.5222 -18.5673
scale(FLII)-Odocoileus virginianus                      0.5179  4.0251 -10.5747
scale(FLII)-Procyon cancrivorus                         2.0760  4.7991  -3.0166
scale(FLII)-Puma yagouaroundi                           1.5572  3.9832  -6.1839
scale(FLII)-Sciurus stramineus                          1.2325  3.6188  -8.5028
scale(FLII)-Sylvilagus brasiliensis                     0.0117  5.9856 -19.1786
scale(border_dist):scale(FLII)-Cuniculus paca           0.7643  2.3124  -5.0621
scale(border_dist):scale(FLII)-Dasyprocta punctata      0.3984  2.7119  -5.7165
scale(border_dist):scale(FLII)-Dasypus novemcinctus     0.3548  2.2092  -5.0076
scale(border_dist):scale(FLII)-Eira barbara             0.0103  2.5631  -6.3045
scale(border_dist):scale(FLII)-Leopardus pardalis       0.1161  2.8148  -7.1582
scale(border_dist):scale(FLII)-Leopardus wiedii         0.1306  2.8449  -7.7376
scale(border_dist):scale(FLII)-Odocoileus virginianus   0.8288  2.9916  -5.2383
scale(border_dist):scale(FLII)-Procyon cancrivorus      0.6092  2.7845  -6.5080
scale(border_dist):scale(FLII)-Puma yagouaroundi        0.4121  2.8303  -5.8865
scale(border_dist):scale(FLII)-Sciurus stramineus      -0.3218  2.7363  -7.5517
scale(border_dist):scale(FLII)-Sylvilagus brasiliensis  0.7921  2.8481  -5.0956
                                                           50%   97.5%   Rhat
(Intercept)-Cuniculus paca                             -0.6751 13.8929 3.8728
(Intercept)-Dasyprocta punctata                        -0.6584  7.9748 2.0975
(Intercept)-Dasypus novemcinctus                       -0.6377  8.3453 1.8404
(Intercept)-Eira barbara                               -0.6157  7.6861 1.8360
(Intercept)-Leopardus pardalis                         -1.1060  4.7864 1.2771
(Intercept)-Leopardus wiedii                           -0.2911 17.4064 3.5008
(Intercept)-Odocoileus virginianus                     -0.9942  8.0258 1.9868
(Intercept)-Procyon cancrivorus                        -1.0288  5.1292 1.2197
(Intercept)-Puma yagouaroundi                          -0.9526 10.9735 2.6297
(Intercept)-Sciurus stramineus                         -0.9763  6.9703 1.5227
(Intercept)-Sylvilagus brasiliensis                    -1.1457  3.8771 1.1978
scale(elev)-Cuniculus paca                              1.3409  7.0541 1.3009
scale(elev)-Dasyprocta punctata                         3.3439 46.7022 4.1082
scale(elev)-Dasypus novemcinctus                        4.0916 29.7575 2.4044
scale(elev)-Eira barbara                                4.9809 43.5860 3.2075
scale(elev)-Leopardus pardalis                         -3.5451  2.4391 3.0660
scale(elev)-Leopardus wiedii                            0.3144 10.8539 1.2358
scale(elev)-Odocoileus virginianus                     -1.9061  4.6362 1.1812
scale(elev)-Procyon cancrivorus                         2.3482 31.7520 3.0728
scale(elev)-Puma yagouaroundi                           1.9231 56.7560 5.9182
scale(elev)-Sciurus stramineus                          1.3962 30.9629 1.5776
scale(elev)-Sylvilagus brasiliensis                    -3.2350  2.5201 3.2983
scale(border_dist)-Cuniculus paca                       1.3385  7.2158 1.0824
scale(border_dist)-Dasyprocta punctata                  0.1867  4.1492 1.5576
scale(border_dist)-Dasypus novemcinctus                -0.1146  4.1340 1.0629
scale(border_dist)-Eira barbara                         0.2648  8.5176 1.0720
scale(border_dist)-Leopardus pardalis                   1.1435 16.0736 1.2837
scale(border_dist)-Leopardus wiedii                     1.3505 11.4883 1.1464
scale(border_dist)-Odocoileus virginianus               1.2152 15.3475 1.1031
scale(border_dist)-Procyon cancrivorus                  0.9522 10.1600 1.0746
scale(border_dist)-Puma yagouaroundi                    0.3284  5.7760 1.4658
scale(border_dist)-Sciurus stramineus                  -0.2273  3.4346 1.3742
scale(border_dist)-Sylvilagus brasiliensis              1.1627 13.9491 1.0996
scale(FLII)-Cuniculus paca                              1.8188 23.2543 3.7015
scale(FLII)-Dasyprocta punctata                         1.4303 16.7283 2.2936
scale(FLII)-Dasypus novemcinctus                        1.4025 12.2826 1.7446
scale(FLII)-Eira barbara                                0.9913  6.8760 1.2159
scale(FLII)-Leopardus pardalis                          0.8202  5.5555 1.7198
scale(FLII)-Leopardus wiedii                            0.9567  4.6609 3.0697
scale(FLII)-Odocoileus virginianus                      1.0828  5.4673 1.8819
scale(FLII)-Procyon cancrivorus                         1.2960 15.2894 2.3704
scale(FLII)-Puma yagouaroundi                           1.4612  8.7588 1.2498
scale(FLII)-Sciurus stramineus                          1.3841  8.1998 1.4935
scale(FLII)-Sylvilagus brasiliensis                     0.9813  5.1049 2.4387
scale(border_dist):scale(FLII)-Cuniculus paca           0.8942  4.3800 1.5405
scale(border_dist):scale(FLII)-Dasyprocta punctata      0.5557  5.6159 1.0507
scale(border_dist):scale(FLII)-Dasypus novemcinctus     0.5264  4.4546 1.1128
scale(border_dist):scale(FLII)-Eira barbara             0.3559  3.7392 1.1091
scale(border_dist):scale(FLII)-Leopardus pardalis       0.4609  4.4560 1.1766
scale(border_dist):scale(FLII)-Leopardus wiedii         0.5222  4.9243 1.1880
scale(border_dist):scale(FLII)-Odocoileus virginianus   0.7532  7.8079 1.1599
scale(border_dist):scale(FLII)-Procyon cancrivorus      0.7405  6.0159 1.0780
scale(border_dist):scale(FLII)-Puma yagouaroundi        0.6412  5.0130 1.1925
scale(border_dist):scale(FLII)-Sciurus stramineus       0.2213  3.3062 1.1191
scale(border_dist):scale(FLII)-Sylvilagus brasiliensis  0.7363  7.3207 1.0661
                                                       ESS
(Intercept)-Cuniculus paca                              22
(Intercept)-Dasyprocta punctata                         49
(Intercept)-Dasypus novemcinctus                        67
(Intercept)-Eira barbara                               154
(Intercept)-Leopardus pardalis                         212
(Intercept)-Leopardus wiedii                            28
(Intercept)-Odocoileus virginianus                      32
(Intercept)-Procyon cancrivorus                        115
(Intercept)-Puma yagouaroundi                           38
(Intercept)-Sciurus stramineus                          83
(Intercept)-Sylvilagus brasiliensis                    150
scale(elev)-Cuniculus paca                             228
scale(elev)-Dasyprocta punctata                         12
scale(elev)-Dasypus novemcinctus                        27
scale(elev)-Eira barbara                                10
scale(elev)-Leopardus pardalis                          25
scale(elev)-Leopardus wiedii                            76
scale(elev)-Odocoileus virginianus                      72
scale(elev)-Procyon cancrivorus                         34
scale(elev)-Puma yagouaroundi                           14
scale(elev)-Sciurus stramineus                          53
scale(elev)-Sylvilagus brasiliensis                     18
scale(border_dist)-Cuniculus paca                       73
scale(border_dist)-Dasyprocta punctata                  79
scale(border_dist)-Dasypus novemcinctus                110
scale(border_dist)-Eira barbara                        116
scale(border_dist)-Leopardus pardalis                   55
scale(border_dist)-Leopardus wiedii                     76
scale(border_dist)-Odocoileus virginianus              116
scale(border_dist)-Procyon cancrivorus                 177
scale(border_dist)-Puma yagouaroundi                    49
scale(border_dist)-Sciurus stramineus                   64
scale(border_dist)-Sylvilagus brasiliensis             132
scale(FLII)-Cuniculus paca                              21
scale(FLII)-Dasyprocta punctata                         37
scale(FLII)-Dasypus novemcinctus                        46
scale(FLII)-Eira barbara                               905
scale(FLII)-Leopardus pardalis                          59
scale(FLII)-Leopardus wiedii                            19
scale(FLII)-Odocoileus virginianus                      31
scale(FLII)-Procyon cancrivorus                        107
scale(FLII)-Puma yagouaroundi                          104
scale(FLII)-Sciurus stramineus                          77
scale(FLII)-Sylvilagus brasiliensis                     27
scale(border_dist):scale(FLII)-Cuniculus paca          134
scale(border_dist):scale(FLII)-Dasyprocta punctata     206
scale(border_dist):scale(FLII)-Dasypus novemcinctus    259
scale(border_dist):scale(FLII)-Eira barbara            208
scale(border_dist):scale(FLII)-Leopardus pardalis      266
scale(border_dist):scale(FLII)-Leopardus wiedii        102
scale(border_dist):scale(FLII)-Odocoileus virginianus  144
scale(border_dist):scale(FLII)-Procyon cancrivorus     131
scale(border_dist):scale(FLII)-Puma yagouaroundi       120
scale(border_dist):scale(FLII)-Sciurus stramineus      127
scale(border_dist):scale(FLII)-Sylvilagus brasiliensis 142

Detection (logit scale): 
                                         Mean     SD    2.5%     50%   97.5%
(Intercept)-Cuniculus paca            -2.3381 0.7740 -3.6942 -2.3782 -0.8480
(Intercept)-Dasyprocta punctata       -3.7641 0.6609 -4.9893 -3.8022 -2.3449
(Intercept)-Dasypus novemcinctus      -3.1802 0.6065 -4.2788 -3.2235 -1.8464
(Intercept)-Eira barbara              -3.4366 0.6048 -4.5315 -3.4663 -2.0998
(Intercept)-Leopardus pardalis        -4.1916 0.7790 -5.8069 -4.1434 -2.7933
(Intercept)-Leopardus wiedii          -3.9693 0.7442 -5.4275 -3.9846 -2.4352
(Intercept)-Odocoileus virginianus    -4.1345 0.8282 -5.8454 -4.1252 -2.4825
(Intercept)-Procyon cancrivorus       -4.2139 0.8440 -5.9196 -4.1869 -2.5206
(Intercept)-Puma yagouaroundi         -4.1870 0.8498 -5.8408 -4.2035 -2.4805
(Intercept)-Sciurus stramineus        -4.3232 0.8148 -6.0333 -4.2952 -2.7598
(Intercept)-Sylvilagus brasiliensis   -4.1114 0.7940 -5.7233 -4.0821 -2.5316
scale(effort)-Cuniculus paca           1.1021 0.6707  0.1113  0.9945  2.7552
scale(effort)-Dasyprocta punctata      0.7763 0.5795 -0.2423  0.7266  2.0136
scale(effort)-Dasypus novemcinctus     0.5092 0.4873 -0.3972  0.4850  1.5547
scale(effort)-Eira barbara             0.8818 0.5885 -0.1114  0.8198  2.2300
scale(effort)-Leopardus pardalis       0.8087 0.6081 -0.2230  0.7571  2.1755
scale(effort)-Leopardus wiedii         0.8905 0.6283 -0.1577  0.8314  2.3372
scale(effort)-Odocoileus virginianus   0.8141 0.6285 -0.3023  0.7538  2.2415
scale(effort)-Procyon cancrivorus      0.8049 0.6394 -0.3049  0.7613  2.2456
scale(effort)-Puma yagouaroundi        0.7663 0.6114 -0.3034  0.7083  2.1899
scale(effort)-Sciurus stramineus       0.7728 0.6201 -0.3133  0.7272  2.1970
scale(effort)-Sylvilagus brasiliensis  0.8340 0.6388 -0.2393  0.7767  2.3086
                                        Rhat  ESS
(Intercept)-Cuniculus paca            1.4398   98
(Intercept)-Dasyprocta punctata       1.2061  107
(Intercept)-Dasypus novemcinctus      1.2755  122
(Intercept)-Eira barbara              1.2761  164
(Intercept)-Leopardus pardalis        1.0547  420
(Intercept)-Leopardus wiedii          1.2187  218
(Intercept)-Odocoileus virginianus    1.1779  306
(Intercept)-Procyon cancrivorus       1.1291  302
(Intercept)-Puma yagouaroundi         1.2756  161
(Intercept)-Sciurus stramineus        1.0813  370
(Intercept)-Sylvilagus brasiliensis   1.1241  322
scale(effort)-Cuniculus paca          1.0174 1097
scale(effort)-Dasyprocta punctata     1.0181 1294
scale(effort)-Dasypus novemcinctus    1.0107 1841
scale(effort)-Eira barbara            1.0167 1307
scale(effort)-Leopardus pardalis      1.0136 1197
scale(effort)-Leopardus wiedii        1.0172 1282
scale(effort)-Odocoileus virginianus  1.0095 1471
scale(effort)-Procyon cancrivorus     1.0076 1296
scale(effort)-Puma yagouaroundi       1.0228 1350
scale(effort)-Sciurus stramineus      1.0122 1204
scale(effort)-Sylvilagus brasiliensis 1.0080 1196

----------------------------------------
    Spatial Covariance
----------------------------------------
        Mean     SD  2.5%    50%  97.5%   Rhat ESS
phi-1 0.0023 0.0012 3e-04 0.0023 0.0043 1.0235 777
phi-2 0.0023 0.0012 3e-04 0.0024 0.0043 1.0044 649
phi-3 0.0023 0.0012 3e-04 0.0022 0.0043 1.0057 864
Code
summary(out.sp.int, level = 'both')

Call:
sfMsPGOcc(occ.formula = ~scale(elev) + scale(border_dist) * scale(FLII), 
    det.formula = ~scale(effort), data = data_list, cov.model = "exponential", 
    NNGP = TRUE, n.neighbors = 8, n.factors = 3, n.batch = 500, 
    batch.length = 40, n.omp.threads = 6, n.report = 1000, n.burn = 10000, 
    n.thin = 10, n.chains = 3)

Samples per Chain: 20000
Burn-in: 10000
Thinning Rate: 10
Number of Chains: 3
Total Posterior Samples: 3000
Run Time (min): 2.5177

----------------------------------------
    Community Level
----------------------------------------
Occurrence Means (logit scale): 
                                  Mean     SD    2.5%     50%  97.5%   Rhat ESS
(Intercept)                    -0.4794 1.4654 -2.8388 -0.7173 2.6566 1.7907  72
scale(elev)                     0.6108 1.3224 -2.0450  0.6681 3.2024 1.0443 531
scale(border_dist)              0.5208 1.2833 -2.2459  0.5734 3.0037 1.1638 375
scale(FLII)                     1.1002 1.1689 -1.3867  1.1148 3.3495 1.1201 196
scale(border_dist):scale(FLII)  0.3811 1.1441 -2.2577  0.5007 2.4676 1.2048 173

Occurrence Variances (logit scale): 
                                   Mean       SD   2.5%     50%     97.5%
(Intercept)                     14.9545  63.4649 0.0550  1.0109  142.0094
scale(elev)                    171.2146 383.6185 0.1292 19.6071 1318.1179
scale(border_dist)              25.8363  83.9536 0.0696  2.1895  217.5438
scale(FLII)                     25.9589 126.2545 0.0612  0.9839  356.1950
scale(border_dist):scale(FLII)   7.4381  20.5176 0.0556  0.9613   58.3632
                                 Rhat ESS
(Intercept)                    3.3461  42
scale(elev)                    5.1056  14
scale(border_dist)             1.8172  51
scale(FLII)                    3.3087  32
scale(border_dist):scale(FLII) 1.3509 152

Detection Means (logit scale): 
                 Mean     SD    2.5%     50%   97.5%   Rhat ESS
(Intercept)   -3.6887 0.5343 -4.6378 -3.7343 -2.5203 1.3738  91
scale(effort)  0.8042 0.4157  0.1110  0.7612  1.7304 1.0217 798

Detection Variances (logit scale): 
                Mean     SD   2.5%    50%  97.5%   Rhat  ESS
(Intercept)   0.9839 0.9431 0.1104 0.7271 3.2369 1.0424  882
scale(effort) 0.3428 0.4330 0.0397 0.2026 1.4615 1.0242 1604

----------------------------------------
    Species Level
----------------------------------------
Occurrence (logit scale): 
                                                          Mean      SD     2.5%
(Intercept)-Cuniculus paca                              0.4944  4.0565  -2.8033
(Intercept)-Dasyprocta punctata                         0.0392  3.6378  -3.8860
(Intercept)-Dasypus novemcinctus                       -0.0776  3.1098  -4.6458
(Intercept)-Eira barbara                               -0.1146  3.7115  -5.1236
(Intercept)-Leopardus pardalis                         -1.2406  4.0034  -9.8816
(Intercept)-Leopardus wiedii                            1.1710  5.8379  -3.1117
(Intercept)-Odocoileus virginianus                     -0.4806  3.1145  -5.4339
(Intercept)-Procyon cancrivorus                        -0.8094  2.7403  -6.5771
(Intercept)-Puma yagouaroundi                          -0.2287  3.6738  -5.3190
(Intercept)-Sciurus stramineus                         -0.5965  3.6496  -6.4208
(Intercept)-Sylvilagus brasiliensis                    -1.2360  3.1347  -8.4734
scale(elev)-Cuniculus paca                              1.5065  2.4637  -2.3020
scale(elev)-Dasyprocta punctata                         8.5857 12.9428  -1.3877
scale(elev)-Dasypus novemcinctus                        7.1463  8.1093  -0.5409
scale(elev)-Eira barbara                                9.5837 11.8735  -0.5529
scale(elev)-Leopardus pardalis                         -7.3993 11.0051 -40.4094
scale(elev)-Leopardus wiedii                            0.0460  5.8615 -11.3472
scale(elev)-Odocoileus virginianus                     -3.7736  6.9312 -24.8624
scale(elev)-Procyon cancrivorus                         5.2491  8.7024  -3.9199
scale(elev)-Puma yagouaroundi                           7.4180 15.6852  -5.1692
scale(elev)-Sciurus stramineus                          3.3649  9.7441 -11.8246
scale(elev)-Sylvilagus brasiliensis                    -7.0838 10.6550 -39.6687
scale(border_dist)-Cuniculus paca                       1.6095  2.2913  -2.4363
scale(border_dist)-Dasyprocta punctata                 -1.1032  6.4572 -13.3413
scale(border_dist)-Dasypus novemcinctus                -1.1256  4.3256 -13.9720
scale(border_dist)-Eira barbara                        -0.0825  4.5339 -11.0961
scale(border_dist)-Leopardus pardalis                   1.6907  5.7573  -8.2273
scale(border_dist)-Leopardus wiedii                     1.9755  3.8028  -3.2989
scale(border_dist)-Odocoileus virginianus               2.4277  5.3901  -3.2342
scale(border_dist)-Procyon cancrivorus                  1.1788  3.7457  -5.9630
scale(border_dist)-Puma yagouaroundi                   -0.5335  4.6071 -13.7756
scale(border_dist)-Sciurus stramineus                  -1.4180  4.5053 -14.5438
scale(border_dist)-Sylvilagus brasiliensis              2.0342  4.6485  -4.1684
scale(FLII)-Cuniculus paca                              3.1206  5.1956  -0.5264
scale(FLII)-Dasyprocta punctata                         2.2048  4.7522  -2.6829
scale(FLII)-Dasypus novemcinctus                        1.8981  4.1868  -3.1341
scale(FLII)-Eira barbara                                0.9488  3.3211  -4.9388
scale(FLII)-Leopardus pardalis                          0.1300  4.8545 -12.6087
scale(FLII)-Leopardus wiedii                           -0.1683  5.5222 -18.5673
scale(FLII)-Odocoileus virginianus                      0.5179  4.0251 -10.5747
scale(FLII)-Procyon cancrivorus                         2.0760  4.7991  -3.0166
scale(FLII)-Puma yagouaroundi                           1.5572  3.9832  -6.1839
scale(FLII)-Sciurus stramineus                          1.2325  3.6188  -8.5028
scale(FLII)-Sylvilagus brasiliensis                     0.0117  5.9856 -19.1786
scale(border_dist):scale(FLII)-Cuniculus paca           0.7643  2.3124  -5.0621
scale(border_dist):scale(FLII)-Dasyprocta punctata      0.3984  2.7119  -5.7165
scale(border_dist):scale(FLII)-Dasypus novemcinctus     0.3548  2.2092  -5.0076
scale(border_dist):scale(FLII)-Eira barbara             0.0103  2.5631  -6.3045
scale(border_dist):scale(FLII)-Leopardus pardalis       0.1161  2.8148  -7.1582
scale(border_dist):scale(FLII)-Leopardus wiedii         0.1306  2.8449  -7.7376
scale(border_dist):scale(FLII)-Odocoileus virginianus   0.8288  2.9916  -5.2383
scale(border_dist):scale(FLII)-Procyon cancrivorus      0.6092  2.7845  -6.5080
scale(border_dist):scale(FLII)-Puma yagouaroundi        0.4121  2.8303  -5.8865
scale(border_dist):scale(FLII)-Sciurus stramineus      -0.3218  2.7363  -7.5517
scale(border_dist):scale(FLII)-Sylvilagus brasiliensis  0.7921  2.8481  -5.0956
                                                           50%   97.5%   Rhat
(Intercept)-Cuniculus paca                             -0.6751 13.8929 3.8728
(Intercept)-Dasyprocta punctata                        -0.6584  7.9748 2.0975
(Intercept)-Dasypus novemcinctus                       -0.6377  8.3453 1.8404
(Intercept)-Eira barbara                               -0.6157  7.6861 1.8360
(Intercept)-Leopardus pardalis                         -1.1060  4.7864 1.2771
(Intercept)-Leopardus wiedii                           -0.2911 17.4064 3.5008
(Intercept)-Odocoileus virginianus                     -0.9942  8.0258 1.9868
(Intercept)-Procyon cancrivorus                        -1.0288  5.1292 1.2197
(Intercept)-Puma yagouaroundi                          -0.9526 10.9735 2.6297
(Intercept)-Sciurus stramineus                         -0.9763  6.9703 1.5227
(Intercept)-Sylvilagus brasiliensis                    -1.1457  3.8771 1.1978
scale(elev)-Cuniculus paca                              1.3409  7.0541 1.3009
scale(elev)-Dasyprocta punctata                         3.3439 46.7022 4.1082
scale(elev)-Dasypus novemcinctus                        4.0916 29.7575 2.4044
scale(elev)-Eira barbara                                4.9809 43.5860 3.2075
scale(elev)-Leopardus pardalis                         -3.5451  2.4391 3.0660
scale(elev)-Leopardus wiedii                            0.3144 10.8539 1.2358
scale(elev)-Odocoileus virginianus                     -1.9061  4.6362 1.1812
scale(elev)-Procyon cancrivorus                         2.3482 31.7520 3.0728
scale(elev)-Puma yagouaroundi                           1.9231 56.7560 5.9182
scale(elev)-Sciurus stramineus                          1.3962 30.9629 1.5776
scale(elev)-Sylvilagus brasiliensis                    -3.2350  2.5201 3.2983
scale(border_dist)-Cuniculus paca                       1.3385  7.2158 1.0824
scale(border_dist)-Dasyprocta punctata                  0.1867  4.1492 1.5576
scale(border_dist)-Dasypus novemcinctus                -0.1146  4.1340 1.0629
scale(border_dist)-Eira barbara                         0.2648  8.5176 1.0720
scale(border_dist)-Leopardus pardalis                   1.1435 16.0736 1.2837
scale(border_dist)-Leopardus wiedii                     1.3505 11.4883 1.1464
scale(border_dist)-Odocoileus virginianus               1.2152 15.3475 1.1031
scale(border_dist)-Procyon cancrivorus                  0.9522 10.1600 1.0746
scale(border_dist)-Puma yagouaroundi                    0.3284  5.7760 1.4658
scale(border_dist)-Sciurus stramineus                  -0.2273  3.4346 1.3742
scale(border_dist)-Sylvilagus brasiliensis              1.1627 13.9491 1.0996
scale(FLII)-Cuniculus paca                              1.8188 23.2543 3.7015
scale(FLII)-Dasyprocta punctata                         1.4303 16.7283 2.2936
scale(FLII)-Dasypus novemcinctus                        1.4025 12.2826 1.7446
scale(FLII)-Eira barbara                                0.9913  6.8760 1.2159
scale(FLII)-Leopardus pardalis                          0.8202  5.5555 1.7198
scale(FLII)-Leopardus wiedii                            0.9567  4.6609 3.0697
scale(FLII)-Odocoileus virginianus                      1.0828  5.4673 1.8819
scale(FLII)-Procyon cancrivorus                         1.2960 15.2894 2.3704
scale(FLII)-Puma yagouaroundi                           1.4612  8.7588 1.2498
scale(FLII)-Sciurus stramineus                          1.3841  8.1998 1.4935
scale(FLII)-Sylvilagus brasiliensis                     0.9813  5.1049 2.4387
scale(border_dist):scale(FLII)-Cuniculus paca           0.8942  4.3800 1.5405
scale(border_dist):scale(FLII)-Dasyprocta punctata      0.5557  5.6159 1.0507
scale(border_dist):scale(FLII)-Dasypus novemcinctus     0.5264  4.4546 1.1128
scale(border_dist):scale(FLII)-Eira barbara             0.3559  3.7392 1.1091
scale(border_dist):scale(FLII)-Leopardus pardalis       0.4609  4.4560 1.1766
scale(border_dist):scale(FLII)-Leopardus wiedii         0.5222  4.9243 1.1880
scale(border_dist):scale(FLII)-Odocoileus virginianus   0.7532  7.8079 1.1599
scale(border_dist):scale(FLII)-Procyon cancrivorus      0.7405  6.0159 1.0780
scale(border_dist):scale(FLII)-Puma yagouaroundi        0.6412  5.0130 1.1925
scale(border_dist):scale(FLII)-Sciurus stramineus       0.2213  3.3062 1.1191
scale(border_dist):scale(FLII)-Sylvilagus brasiliensis  0.7363  7.3207 1.0661
                                                       ESS
(Intercept)-Cuniculus paca                              22
(Intercept)-Dasyprocta punctata                         49
(Intercept)-Dasypus novemcinctus                        67
(Intercept)-Eira barbara                               154
(Intercept)-Leopardus pardalis                         212
(Intercept)-Leopardus wiedii                            28
(Intercept)-Odocoileus virginianus                      32
(Intercept)-Procyon cancrivorus                        115
(Intercept)-Puma yagouaroundi                           38
(Intercept)-Sciurus stramineus                          83
(Intercept)-Sylvilagus brasiliensis                    150
scale(elev)-Cuniculus paca                             228
scale(elev)-Dasyprocta punctata                         12
scale(elev)-Dasypus novemcinctus                        27
scale(elev)-Eira barbara                                10
scale(elev)-Leopardus pardalis                          25
scale(elev)-Leopardus wiedii                            76
scale(elev)-Odocoileus virginianus                      72
scale(elev)-Procyon cancrivorus                         34
scale(elev)-Puma yagouaroundi                           14
scale(elev)-Sciurus stramineus                          53
scale(elev)-Sylvilagus brasiliensis                     18
scale(border_dist)-Cuniculus paca                       73
scale(border_dist)-Dasyprocta punctata                  79
scale(border_dist)-Dasypus novemcinctus                110
scale(border_dist)-Eira barbara                        116
scale(border_dist)-Leopardus pardalis                   55
scale(border_dist)-Leopardus wiedii                     76
scale(border_dist)-Odocoileus virginianus              116
scale(border_dist)-Procyon cancrivorus                 177
scale(border_dist)-Puma yagouaroundi                    49
scale(border_dist)-Sciurus stramineus                   64
scale(border_dist)-Sylvilagus brasiliensis             132
scale(FLII)-Cuniculus paca                              21
scale(FLII)-Dasyprocta punctata                         37
scale(FLII)-Dasypus novemcinctus                        46
scale(FLII)-Eira barbara                               905
scale(FLII)-Leopardus pardalis                          59
scale(FLII)-Leopardus wiedii                            19
scale(FLII)-Odocoileus virginianus                      31
scale(FLII)-Procyon cancrivorus                        107
scale(FLII)-Puma yagouaroundi                          104
scale(FLII)-Sciurus stramineus                          77
scale(FLII)-Sylvilagus brasiliensis                     27
scale(border_dist):scale(FLII)-Cuniculus paca          134
scale(border_dist):scale(FLII)-Dasyprocta punctata     206
scale(border_dist):scale(FLII)-Dasypus novemcinctus    259
scale(border_dist):scale(FLII)-Eira barbara            208
scale(border_dist):scale(FLII)-Leopardus pardalis      266
scale(border_dist):scale(FLII)-Leopardus wiedii        102
scale(border_dist):scale(FLII)-Odocoileus virginianus  144
scale(border_dist):scale(FLII)-Procyon cancrivorus     131
scale(border_dist):scale(FLII)-Puma yagouaroundi       120
scale(border_dist):scale(FLII)-Sciurus stramineus      127
scale(border_dist):scale(FLII)-Sylvilagus brasiliensis 142

Detection (logit scale): 
                                         Mean     SD    2.5%     50%   97.5%
(Intercept)-Cuniculus paca            -2.3381 0.7740 -3.6942 -2.3782 -0.8480
(Intercept)-Dasyprocta punctata       -3.7641 0.6609 -4.9893 -3.8022 -2.3449
(Intercept)-Dasypus novemcinctus      -3.1802 0.6065 -4.2788 -3.2235 -1.8464
(Intercept)-Eira barbara              -3.4366 0.6048 -4.5315 -3.4663 -2.0998
(Intercept)-Leopardus pardalis        -4.1916 0.7790 -5.8069 -4.1434 -2.7933
(Intercept)-Leopardus wiedii          -3.9693 0.7442 -5.4275 -3.9846 -2.4352
(Intercept)-Odocoileus virginianus    -4.1345 0.8282 -5.8454 -4.1252 -2.4825
(Intercept)-Procyon cancrivorus       -4.2139 0.8440 -5.9196 -4.1869 -2.5206
(Intercept)-Puma yagouaroundi         -4.1870 0.8498 -5.8408 -4.2035 -2.4805
(Intercept)-Sciurus stramineus        -4.3232 0.8148 -6.0333 -4.2952 -2.7598
(Intercept)-Sylvilagus brasiliensis   -4.1114 0.7940 -5.7233 -4.0821 -2.5316
scale(effort)-Cuniculus paca           1.1021 0.6707  0.1113  0.9945  2.7552
scale(effort)-Dasyprocta punctata      0.7763 0.5795 -0.2423  0.7266  2.0136
scale(effort)-Dasypus novemcinctus     0.5092 0.4873 -0.3972  0.4850  1.5547
scale(effort)-Eira barbara             0.8818 0.5885 -0.1114  0.8198  2.2300
scale(effort)-Leopardus pardalis       0.8087 0.6081 -0.2230  0.7571  2.1755
scale(effort)-Leopardus wiedii         0.8905 0.6283 -0.1577  0.8314  2.3372
scale(effort)-Odocoileus virginianus   0.8141 0.6285 -0.3023  0.7538  2.2415
scale(effort)-Procyon cancrivorus      0.8049 0.6394 -0.3049  0.7613  2.2456
scale(effort)-Puma yagouaroundi        0.7663 0.6114 -0.3034  0.7083  2.1899
scale(effort)-Sciurus stramineus       0.7728 0.6201 -0.3133  0.7272  2.1970
scale(effort)-Sylvilagus brasiliensis  0.8340 0.6388 -0.2393  0.7767  2.3086
                                        Rhat  ESS
(Intercept)-Cuniculus paca            1.4398   98
(Intercept)-Dasyprocta punctata       1.2061  107
(Intercept)-Dasypus novemcinctus      1.2755  122
(Intercept)-Eira barbara              1.2761  164
(Intercept)-Leopardus pardalis        1.0547  420
(Intercept)-Leopardus wiedii          1.2187  218
(Intercept)-Odocoileus virginianus    1.1779  306
(Intercept)-Procyon cancrivorus       1.1291  302
(Intercept)-Puma yagouaroundi         1.2756  161
(Intercept)-Sciurus stramineus        1.0813  370
(Intercept)-Sylvilagus brasiliensis   1.1241  322
scale(effort)-Cuniculus paca          1.0174 1097
scale(effort)-Dasyprocta punctata     1.0181 1294
scale(effort)-Dasypus novemcinctus    1.0107 1841
scale(effort)-Eira barbara            1.0167 1307
scale(effort)-Leopardus pardalis      1.0136 1197
scale(effort)-Leopardus wiedii        1.0172 1282
scale(effort)-Odocoileus virginianus  1.0095 1471
scale(effort)-Procyon cancrivorus     1.0076 1296
scale(effort)-Puma yagouaroundi       1.0228 1350
scale(effort)-Sciurus stramineus      1.0122 1204
scale(effort)-Sylvilagus brasiliensis 1.0080 1196

----------------------------------------
    Spatial Covariance
----------------------------------------
        Mean     SD  2.5%    50%  97.5%   Rhat ESS
phi-1 0.0023 0.0012 3e-04 0.0023 0.0043 1.0235 777
phi-2 0.0023 0.0012 3e-04 0.0024 0.0043 1.0044 649
phi-3 0.0023 0.0012 3e-04 0.0022 0.0043 1.0057 864

Bayesian p-values can be inspected to check for lack of fit (overall or by species). Lack of fit at significance level = 0.05 is indicated by Bayesian p-values below 0.025 or greater than 0.975. The overall Bayesian p-value (Bpvalue) indicates no problems with lack of fit. Likewise, species-level Bayesian p-values (Bpvalue_species) indicate no lack of fit for any species.

Gelman and Rubin’s convergence diagnostic: Approximate convergence is diagnosed when the upper limit is close to 1.

Convergence is diagnosed when the chains have ‘forgotten’ their initial values, and the output from all chains is indistinguishable. The gelman.diag diagnostic is applied to a single variable from the chain. It is based a comparison of within-chain and between-chain variances, and is similar to a classical analysis of variance.

Values substantially above 1 indicate lack of convergence.

Model Diagnostics

Code
#| eval: true
#| echo: true
#| code-fold: true
#| warning: false
#| message: false
# Extract posterior draws for later use
posterior1 <- as.array(out.sp)

# Trace plots to check chain mixing. Extract posterior samples and bind in a single matrix.
POSTERIOR.MATRIX <- cbind(out.sp$alpha.comm.samples, 
                          out.sp$beta.comm.samples,  
                          out.sp$alpha.samples, 
                          out.sp$beta.samples)

# Matrix output is all chains combined, split into 3 chains.
CHAIN.1 <- as.mcmc(POSTERIOR.MATRIX[1:1000,])
CHAIN.2 <- as.mcmc(POSTERIOR.MATRIX[1001:2000,])
CHAIN.3 <- as.mcmc(POSTERIOR.MATRIX[2001:3000,])
# CHAIN.4 <- as.mcmc(POSTERIOR.MATRIX[8001:10000,])

# Bind four chains as coda mcmc.list object.
POSTERIOR.CHAINS <- mcmc.list(CHAIN.1, CHAIN.2, CHAIN.3)#, CHAIN.4)

# Create an empty folder.
# dir.create ("Beetle_plots")

# Plot chain mixing of each parameter to a multi-panel plot and save to the new folder. ART 5 mins

######################################
#### SAVE Diagnostics at PDF
# MCMCtrace(POSTERIOR.CHAINS, params = "all", Rhat = TRUE, n.eff = TRUE)#, pdf = TRUE, filename = "Beetle_240909_traceplots.pdf", wd = "Beetle_plots")



#mcmc_trace(fit.commu, parms = c("beta.ranef.cont.border_dist.mean"))

#posterior2 <- extract(fit.commu, inc_warmup = TRUE, permuted = FALSE)

#color_scheme_set("mix-blue-pink")
#p <- mcmc_trace(posterior1,  pars = c("mu", "tau"), n_warmup = 300,
#                facet_args = list(nrow = 2, labeller = label_parsed))
#p + facet_text(size = 15)



#outMCMC <- fit.commu #Convert output to MCMC object
#diagnostics chains 

# all as pdf
# MCMCtrace(outMCMC)

# MCMCtrace(outMCMC, params = c("alpha0"), type = 'trace', Rhat = TRUE, n.eff = TRUE)

# MCMCtrace(outMCMC, params = c("beta0"), type = 'trace', Rhat = TRUE, n.eff = TRUE)

# MCMCtrace(outMCMC, params = c("beta.ranef.cont.border_dist"), type = 'trace', Rhat = TRUE, n.eff = TRUE)

# MCMCtrace(out.sp, params = c("beta.ranef.cont.border_dist.mean"), type = 'trace', pdf = F, Rhat = TRUE, n.eff = TRUE)

# MCMCtrace(outMCMC, params = c("beta.ranef.cont.elev"), type = 'trace', Rhat = TRUE, n.eff = TRUE)

# MCMCtrace(outMCMC, params = c("beta.ranef.cont.elev.mean"), type = 'trace', pdf = F, Rhat = TRUE, n.eff = TRUE)


### density
# MCMCtrace(outMCMC, params = c("Nspecies"), ISB = FALSE, pdf = F, exact = TRUE, post_zm = TRUE, type = 'density', Rhat = TRUE, n.eff = TRUE, ind = TRUE)

### density
# MCMCtrace(outMCMC, params = c("beta.ranef.cont.elev.mean"), ISB = FALSE, pdf = F, exact = TRUE, post_zm = TRUE, type = 'density', Rhat = TRUE, n.eff = TRUE, ind = TRUE)

### density
#MCMCtrace(outMCMC, params = c("beta.ranef.cont.border_dist.mean"), ISB = FALSE, pdf = F, exact = TRUE, post_zm = TRUE, type = 'density', Rhat = TRUE, n.eff = TRUE, ind = TRUE)

#coda::gelman.diag(outMCMC,  multivariate = FALSE, transform=FALSE)
                    
# coda::gelman.plot(outMCMC,  multivariate = FALSE)



# 
# mcmc_intervals(outMCMC, pars = c("Nspecies_in_AP[1]",
#                                  "Nspecies_in_AP[2]"),
#                point_est = "mean",
#                prob = 0.75, prob_outer = 0.95) +
#   ggtitle("Number of species") + 
#   scale_y_discrete(labels = c("Nspecies_in_AP[1]"=levels(sitecovs$in_AP)[1],
#              "Nspecies_in_AP[2]"=levels(sitecovs$in_AP)[2]))
# 
# #Continuous
# p <- mcmc_intervals(outMCMC, 
#                pars = c("beta.ranef.cont.border_dist.mean",
#                          #"beta.ranef.cont.elev.mean",
#                         "beta.ranef.categ.in_AP.mean[2]"))
# 
# # relabel parameters
# p + scale_y_discrete(
#   labels = c("beta.ranef.cont.border_dist.mean"="Dist_border",
#                          #"beta.ranef.cont.elev.mean"="Elevation",
#                         "beta.ranef.categ.in_AP.mean[2]"="in_AP")
# ) +
#   ggtitle("Treatment effect on all species")
# 

Posterior Summary (effect)

Community effects

Code
# Create simple plot summaries using MCMCvis package.
# Detection covariate effects --------- 
MCMCplot(out.sp.int$alpha.comm.samples, ref_ovl = TRUE, ci = c(50, 95))
# Occupancy community-level effects 
MCMCplot(out.sp.int$beta.comm.samples, ref_ovl = TRUE, ci = c(50, 95))
(a) Detection
(b) Occupancy
Figure 1: Community effects

Species effects

Code
# Occupancy species-level effects 
MCMCplot(out.sp.int$beta.samples[,12:22], ref_ovl = TRUE, ci = c(50, 95))

# Occupancy species-level effects 
MCMCplot(out.sp.int$beta.samples[,23:33], ref_ovl = TRUE, ci = c(50, 95))

# Occupancy species-level effects 
MCMCplot(out.sp.int$beta.samples[,34:44], ref_ovl = TRUE, ci = c(50, 95))
(a) elevation
(b) distance border
(c) FLII
Figure 2: Species effects

Species effects using bayesplot

Code
library(bayesplot)
#mcmc_areas(outMCMC, regex_pars = "Nspecies_in_AP")
# mcmc_areas(outMCMC, regex_pars = "Nspecies_in_AP")

mcmc_intervals(out.sp.int$beta.samples[,12:22] , point_est = "mean",
               prob = 0.75, prob_outer = 0.95) + 
  geom_vline(xintercept = 0, color = "red", linetype = "dashed", size = 0.5)
Warning: Using `size` aesthetic for lines was deprecated in ggplot2 3.4.0.
ℹ Please use `linewidth` instead.

Code
mcmc_intervals(out.sp.int$beta.samples[,23:33] , point_est = "mean",
               prob = 0.75, prob_outer = 0.95) + 
  geom_vline(xintercept = 0, color = "red", linetype = "dashed", size = 0.5)

Code
mcmc_intervals(out.sp.int$beta.samples[,34:44] , point_est = "mean",
               prob = 0.75, prob_outer = 0.95) + 
  geom_vline(xintercept = 0, color = "red", linetype = "dashed", size = 0.5)

Prediction as graph

This prediction uses the non spatial model

Code
# 6. Prediction -----------------------------------------------------------
# Predict occupancy along a gradient of elev   
# Create a set of values across the range of observed elev values
elev.pred.vals <- seq(min(data_list$occ.covs$elev), 
                              max(data_list$occ.covs$elev), 
                              length.out = 100)
# Scale predicted values by mean and standard deviation used to fit the model
elev.pred.vals.scale <- (elev.pred.vals - mean(data_list$occ.covs$elev)) / 
                             sd(data_list$occ.covs$elev)
# Create a set of values across the range of observed elev values
border_dist.pred.vals <- seq(min(data_list$occ.covs$border_dist), 
                              max(data_list$occ.covs$border_dist), 
                              length.out = 100)
# Scale predicted values by mean and standard deviation used to fit the model
border_dist.pred.vals.scale <- (border_dist.pred.vals -
                                  mean(data_list$occ.covs$border_dist)) /
                                  sd(data_list$occ.covs$border_dist)

# Create a set of values across the range of observed FLII values
FLII.pred.vals <- seq(min(data_list$occ.covs$FLII), 
                              max(data_list$occ.covs$FLII), 
                              length.out = 100)
# Scale predicted values by mean and standard deviation used to fit the model
FLII.pred.vals.scale <- (FLII.pred.vals -
                                  mean(data_list$occ.covs$FLII)) /
                                  sd(data_list$occ.covs$FLII)

# Predict occupancy across elev  values at mean values of all other variables
pred.df1 <- as.matrix(data.frame(intercept = 1, 
                                 elev = elev.pred.vals.scale, 
                                 border_dist = 0,
                                 FLII=0))#, catchment = 0, density = 0, 
                         # slope = 0))
# Predict occupancy across elev  values at mean values of all other variables
pred.df2 <- as.matrix(data.frame(intercept = 1, elev = 0, 
                         border_dist = border_dist.pred.vals.scale,
                         FLII= 0 ))#, catchment = 0, density = 0, 
                         # slope = 0))
# Predict occupancy across elev  values at mean values of all other variables
pred.df3 <- as.matrix(data.frame(intercept = 1, elev = 0, 
                         border_dist = 0,
                         FLII= FLII.pred.vals.scale ))#, catchment = 0, density = 0, 
                         # slope = 0))

out.pred1 <- predict(out.null, pred.df1) # using non spatial
str(out.pred1)
List of 3
 $ psi.0.samples: num [1:1500, 1:11, 1:100] 0.04508 0.00152 0.05263 0.04318 0.00556 ...
 $ z.0.samples  : int [1:1500, 1:11, 1:100] 0 0 0 0 0 0 0 0 0 0 ...
 $ call         : language predict.msPGOcc(object = out.null, X.0 = pred.df1)
 - attr(*, "class")= chr "predict.msPGOcc"
Code
psi.0.quants <- apply(out.pred1$psi.0.samples, c(2, 3), quantile, 
                          prob = c(0.025, 0.5, 0.975))
sp.codes <- attr(data_list$y, "dimnames")[[1]]
psi.plot.dat <- data.frame(psi.med = c(t(psi.0.quants[2, , ])), 
                                 psi.low = c(t(psi.0.quants[1, , ])), 
                                 psi.high = c(t(psi.0.quants[3, , ])), 
                           elev = elev.pred.vals, 
                                 sp.codes = rep(sp.codes, 
                                                each = length(elev.pred.vals)))

ggplot(psi.plot.dat, aes(x = elev, y = psi.med)) + 
  geom_ribbon(aes(ymin = psi.low, ymax = psi.high), fill = 'grey70') +
  geom_line() + 
  facet_wrap(vars(sp.codes)) + 
  theme_bw() + 
  labs(x = 'elevation (m)', y = 'Occupancy Probability') 

Code
out.pred2 <- predict(out.null, pred.df2) # using non spatial
str(out.pred2)
List of 3
 $ psi.0.samples: num [1:1500, 1:11, 1:100] 0.04127 0.00953 0.05629 0.04189 0.0219 ...
 $ z.0.samples  : int [1:1500, 1:11, 1:100] 1 0 0 0 0 0 0 0 0 0 ...
 $ call         : language predict.msPGOcc(object = out.null, X.0 = pred.df2)
 - attr(*, "class")= chr "predict.msPGOcc"
Code
psi.0.quants <- apply(out.pred2$psi.0.samples, c(2, 3), quantile, 
                          prob = c(0.025, 0.5, 0.975))
sp.codes <- attr(data_list$y, "dimnames")[[1]]
psi.plot.dat <- data.frame(psi.med = c(t(psi.0.quants[2, , ])), 
                                 psi.low = c(t(psi.0.quants[1, , ])), 
                                 psi.high = c(t(psi.0.quants[3, , ])), 
                           border_dist = border_dist.pred.vals, 
                                 sp.codes = rep(sp.codes, 
                                                each = length(border_dist.pred.vals)))

ggplot(psi.plot.dat, aes(x = border_dist/1000, y = psi.med)) + 
  geom_ribbon(aes(ymin = psi.low, ymax = psi.high), fill = 'grey70') +
  geom_line() + 
  facet_wrap(vars(sp.codes)) + 
  theme_bw() + 
  labs(x = 'border_dist (Km)', y = 'Occupancy Probability') 

Code
out.pred3 <- predict(out.null, pred.df3) # using non spatial
str(out.pred3)
List of 3
 $ psi.0.samples: num [1:1500, 1:11, 1:100] 0.021 0.0321 0.1529 0.1078 0.0484 ...
 $ z.0.samples  : int [1:1500, 1:11, 1:100] 0 0 1 0 0 1 0 0 0 0 ...
 $ call         : language predict.msPGOcc(object = out.null, X.0 = pred.df3)
 - attr(*, "class")= chr "predict.msPGOcc"
Code
psi.0.quants <- apply(out.pred3$psi.0.samples, c(2, 3), quantile, 
                          prob = c(0.025, 0.5, 0.975))
sp.codes <- attr(data_list$y, "dimnames")[[1]]
psi.plot.dat <- data.frame(psi.med = c(t(psi.0.quants[2, , ])), 
                                 psi.low = c(t(psi.0.quants[1, , ])), 
                                 psi.high = c(t(psi.0.quants[3, , ])), 
                           FLII = FLII.pred.vals, 
                                 sp.codes = rep(sp.codes, 
                                                each = length(FLII.pred.vals)))

ggplot(psi.plot.dat, aes(x = FLII/1000, y = psi.med)) + 
  geom_ribbon(aes(ymin = psi.low, ymax = psi.high), fill = 'grey70') +
  geom_line() + 
  facet_wrap(vars(sp.codes)) + 
  theme_bw() + 
  labs(x = 'FLII', y = 'Occupancy Probability') 

Spatial Prediction in FLII

Code
#aggregate  resolution to (factor = 3)
#transform coord data to UTM
elevation_UTM <- project(elevation_16, "EPSG:10603")
elevation_17.aggregate <- aggregate(elevation_UTM, fact=10)
res(elevation_17.aggregate)

FLII_UTM <- project(FLII2016, "EPSG:10603") |> crop(elevation_UTM)
# Calculate the min of non-NA values
# na.rm = TRUE is essential to ignore NAs when calculating the mean
min_val <- global(FLII_UTM, "min", na.rm = TRUE, na.policy = "only")[1, 1]
# Replace NA values with the calculated min
FLII_UTM[is.na(FLII_UTM)] <- min_val

FLII_UTM.aggregate <- aggregate(FLII_UTM, fact=10)
res(FLII_UTM.aggregate)

# Convert the SpatRaster to a data frame with coordinates
df_coords <- as.data.frame(FLII_UTM.aggregate, xy = TRUE)
names(df_coords) <-c("X","Y","FLII")

FLII.pred <- (df_coords$FLII - mean(data_list$occ.covs$FLII)) / sd(data_list$occ.covs$FLII)


############### Predict new data ############### 
# we predict at one covariate varing and others at mean value = 0
# intercept = 1, elev = 0, border_dist = 0, FLII= 0
# in that order
################ ################ ################ 
predict_data <- cbind(1, 0, 0, FLII.pred)
colnames(predict_data) <- c("intercept",
                            "elev",
                            "border_dist",
                            "FLII" )

# X.0 <- cbind(1, 1, elev.pred)#, elev.pred^2)

# coords.0 <- as.matrix(hbefElev[, c('Easting', 'Northing')])
out.sp.ms.pred <- predict(out.sp, 
                          X.0=predict_data, 
                          df_coords[,1:2],
                          threads=4) #Warning :'threads' is not an argument

# extract the array of interest= occupancy
predicted_array <- out.sp.ms.pred$psi.0.samples



dim(predicted_array)
# df_plot <- NA # empty column
predicted_raster_list <- list() # rast(nrows = 52, ncols = 103,
                         #ext(elevation_17.aggregate), 
                         # crs = "EPSG:32717")

###################################################
# simpler way to make mean in the array by species
# array order: itera=3000, sp=22, pixels=5202
# we wan to keep index 2 and 3
library(plyr)
aresult = (plyr::aaply(predicted_array, # mean fo all iterations
                       c(2,3), 
                       mean))

##############################################
#### Loop to make rasters and put in a list
# array order: itera=3000, sp=22, pixels=5202
for (i in 1:dim(predicted_array)[2]){
 # Convert array slice to data frame
 # df_plot[i] <- as.data.frame(predicted_array[1, i, ]) # sp_i
 # df_plot[i] <- as.vector(aresult[i,]) # Extract sp
 # Producing an SDM for all (posterior mean)
 plot.dat <- data.frame(x = df_coords$X, 
                        y = df_coords$Y, 
                        psi.sp = as.vector(aresult[i,]))
 pred_rast <- rast(plot.dat, 
                   type = "xyz", 
                   crs = "EPSG:10603") # Replace EPSG:4326 with your CRS
 predicted_raster_list[[i]] <- pred_rast
}

# Convert the list to a SpatRaster stack
predictad_raster_stack <- rast(predicted_raster_list)
# put species names
names(predictad_raster_stack) <- selected.sp

plot(predictad_raster_stack)

# get the mean
predicted_mean <- mean(predictad_raster_stack)

plot(predicted_mean, main="mean occupancy")

mapview(predicted_mean) + mapview(AP_Pacoche_UTM_line)
# 

Package Citation

Code
pkgs <- cite_packages(output = "paragraph", pkgs="Session", out.dir = ".")
# knitr::kable(pkgs)
pkgs

We used R v. 4.4.2 (R Core Team 2024) and the following R packages: abind v. 1.4.8 (Plate and Heiberger 2024), bayesplot v. 1.14.0 (Gabry et al. 2019; Gabry and Mahr 2025), beepr v. 2.0 (Bååth 2024), camtrapR v. 3.0.0 (Niedballa et al. 2016), coda v. 0.19.4.1 (Plummer et al. 2006), DT v. 0.34.0 (Xie et al. 2025), elevatr v. 0.99.0 (Hollister et al. 2023), maps v. 3.4.3 (Becker et al. 2025), mapview v. 2.11.4 (Appelhans et al. 2025), MCMCvis v. 0.16.3 (Youngflesh 2018), sf v. 1.0.21 (Pebesma 2018; Pebesma and Bivand 2023), snow v. 0.4.4 (Tierney et al. 2021), snowfall v. 1.84.6.3 (Knaus 2023), spOccupancy v. 0.8.0 (Doser et al. 2022, 2024; Doser, Finley, and Banerjee 2023), terra v. 1.8.70 (Hijmans 2025), tictoc v. 1.2.1 (Izrailev 2024), tidyverse v. 2.0.0 (Wickham et al. 2019), tmap v. 4.2 (Tennekes 2018).

Sesion info

Code
print(sessionInfo(), locale = FALSE)
R version 4.4.2 (2024-10-31 ucrt)
Platform: x86_64-w64-mingw32/x64
Running under: Windows 10 x64 (build 19045)

Matrix products: internal


attached base packages:
[1] stats     graphics  grDevices utils     datasets  methods   base     

other attached packages:
 [1] abind_1.4-8       lubridate_1.9.4   forcats_1.0.0     stringr_1.5.2    
 [5] dplyr_1.1.4       purrr_1.1.0       readr_2.1.5       tidyr_1.3.1      
 [9] tibble_3.2.1      ggplot2_4.0.0     tidyverse_2.0.0   spOccupancy_0.8.0
[13] camtrapR_3.0.0    snowfall_1.84-6.3 snow_0.4-4        beepr_2.0        
[17] coda_0.19-4.1     MCMCvis_0.16.3    tictoc_1.2.1      bayesplot_1.14.0 
[21] elevatr_0.99.0    terra_1.8-70      tmap_4.2          maps_3.4.3       
[25] mapview_2.11.4    sf_1.0-21         DT_0.34.0         readxl_1.4.3     
[29] grateful_0.3.0   

loaded via a namespace (and not attached):
  [1] RColorBrewer_1.1-3      tensorA_0.36.2.1        rstudioapi_0.17.1      
  [4] audio_0.1-11            jsonlite_2.0.0          wk_0.9.4               
  [7] magrittr_2.0.3          farver_2.1.2            nloptr_2.1.1           
 [10] rmarkdown_2.30          vctrs_0.6.5             minqa_1.2.8            
 [13] base64enc_0.1-3         RcppNumerical_0.6-0     progress_1.2.3         
 [16] htmltools_0.5.8.1       leafsync_0.1.0          distributional_0.5.0   
 [19] curl_7.0.0              raster_3.6-32           cellranger_1.1.0       
 [22] s2_1.1.9                sass_0.4.10             bslib_0.9.0            
 [25] slippymath_0.3.1        KernSmooth_2.23-24      htmlwidgets_1.6.4      
 [28] plyr_1.8.9              cachem_1.1.0            stars_0.6-8            
 [31] uuid_1.2-1              mime_0.13               lifecycle_1.0.4        
 [34] iterators_1.0.14        pkgconfig_2.0.3         cols4all_0.8-1         
 [37] Matrix_1.7-1            R6_2.6.1                fastmap_1.2.0          
 [40] shiny_1.9.1             digest_0.6.37           colorspace_2.1-1       
 [43] leafem_0.2.4            crosstalk_1.2.1         labeling_0.4.3         
 [46] lwgeom_0.2-14           progressr_0.15.0        spacesXYZ_1.6-0        
 [49] timechange_0.3.0        httr_1.4.7              mgcv_1.9-1             
 [52] compiler_4.4.2          microbenchmark_1.5.0    proxy_0.4-27           
 [55] bit64_4.5.2             withr_3.0.2             doParallel_1.0.17      
 [58] backports_1.5.0         brew_1.0-10             S7_0.2.1               
 [61] DBI_1.2.3               logger_0.4.0            MASS_7.3-61            
 [64] maptiles_0.10.0         tmaptools_3.3           leaflet_2.2.3          
 [67] classInt_0.4-11         tools_4.4.2             units_0.8-7            
 [70] leaflegend_1.2.1        httpuv_1.6.16           glue_1.8.0             
 [73] satellite_1.0.5         nlme_3.1-166            promises_1.3.3         
 [76] grid_4.4.2              checkmate_2.3.2         reshape2_1.4.4         
 [79] generics_0.1.3          leaflet.providers_2.0.0 gtable_0.3.6           
 [82] tzdb_0.4.0              shinyBS_0.61.1          class_7.3-22           
 [85] data.table_1.17.8       hms_1.1.3               sp_2.2-0               
 [88] RANN_2.6.2              foreach_1.5.2           pillar_1.11.1          
 [91] vroom_1.6.5             posterior_1.6.1         later_1.4.2            
 [94] splines_4.4.2           lattice_0.22-6          bit_4.5.0.1            
 [97] tidyselect_1.2.1        knitr_1.50              svglite_2.1.3          
[100] stats4_4.4.2            xfun_0.52               shinydashboard_0.7.3   
[103] leafpop_0.1.0           stringi_1.8.4           yaml_2.3.10            
[106] boot_1.3-31             evaluate_1.0.4          codetools_0.2-20       
[109] archive_1.1.12          cli_3.6.5               RcppParallel_5.1.9     
[112] systemfonts_1.1.0       xtable_1.8-4            jquerylib_0.1.4        
[115] secr_5.1.0              dichromat_2.0-0.1       Rcpp_1.1.0             
[118] spAbundance_0.2.1       png_0.1-8               XML_3.99-0.18          
[121] parallel_4.4.2          prettyunits_1.2.0       lme4_1.1-35.5          
[124] mvtnorm_1.3-2           scales_1.4.0            e1071_1.7-16           
[127] crayon_1.5.3            rlang_1.1.6            

References

Appelhans, Tim, Florian Detsch, Christoph Reudenbach, and Stefan Woellauer. 2025. mapview: Interactive Viewing of Spatial Data in r. https://CRAN.R-project.org/package=mapview.
Bååth, Rasmus. 2024. beepr: Easily Play Notification Sounds on Any Platform. https://CRAN.R-project.org/package=beepr.
Becker, Richard A., Allan R. Wilks, Ray Brownrigg, Thomas P. Minka, and Alex Deckmyn. 2025. maps: Draw Geographical Maps. https://CRAN.R-project.org/package=maps.
Doser, Jeffrey W., Andrew O. Finley, and Sudipto Banerjee. 2023. “Joint Species Distribution Models with Imperfect Detection for High-Dimensional Spatial Data.” Ecology, e4137. https://doi.org/10.1002/ecy.4137.
Doser, Jeffrey W., Andrew O. Finley, Marc Kéry, and Elise F. Zipkin. 2022. spOccupancy: An r Package for Single-Species, Multi-Species, and Integrated Spatial Occupancy Models.” Methods in Ecology and Evolution 13: 1670–78. https://doi.org/10.1111/2041-210X.13897.
Doser, Jeffrey W., Andrew O. Finley, Sarah P. Saunders, Marc Kéry, Aaron S. Weed, and Elise F. Zipkin. 2024. “Modeling Complex Species-Environment Relationships Through Spatially-Varying Coefficient Occupancy Models.” Journal of Agricultural, Biological, and Environmental Statistics. https://doi.org/10.1007/s13253-023-00595-6.
Gabry, Jonah, and Tristan Mahr. 2025. bayesplot: Plotting for Bayesian Models.” https://mc-stan.org/bayesplot/.
Gabry, Jonah, Daniel Simpson, Aki Vehtari, Michael Betancourt, and Andrew Gelman. 2019. “Visualization in Bayesian Workflow.” J. R. Stat. Soc. A 182: 389–402. https://doi.org/10.1111/rssa.12378.
Hijmans, Robert J. 2025. terra: Spatial Data Analysis. https://CRAN.R-project.org/package=terra.
Hollister, Jeffrey, Tarak Shah, Jakub Nowosad, Alec L. Robitaille, Marcus W. Beck, and Mike Johnson. 2023. elevatr: Access Elevation Data from Various APIs. https://doi.org/10.5281/zenodo.8335450.
Izrailev, Sergei. 2024. tictoc: Functions for Timing r Scripts, as Well as Implementations of Stack and StackList Structures. https://CRAN.R-project.org/package=tictoc.
Knaus, Jochen. 2023. snowfall: Easier Cluster Computing (Based on snow). https://CRAN.R-project.org/package=snowfall.
Niedballa, Jürgen, Rahel Sollmann, Alexandre Courtiol, and Andreas Wilting. 2016. camtrapR: An r Package for Efficient Camera Trap Data Management.” Methods in Ecology and Evolution 7 (12): 1457–62. https://doi.org/10.1111/2041-210X.12600.
Pebesma, Edzer. 2018. Simple Features for R: Standardized Support for Spatial Vector Data.” The R Journal 10 (1): 439–46. https://doi.org/10.32614/RJ-2018-009.
Pebesma, Edzer, and Roger Bivand. 2023. Spatial Data Science: With applications in R. Chapman and Hall/CRC. https://doi.org/10.1201/9780429459016.
Plate, Tony, and Richard Heiberger. 2024. abind: Combine Multidimensional Arrays. https://CRAN.R-project.org/package=abind.
Plummer, Martyn, Nicky Best, Kate Cowles, and Karen Vines. 2006. CODA: Convergence Diagnosis and Output Analysis for MCMC.” R News 6 (1): 7–11. https://journal.r-project.org/archive/.
R Core Team. 2024. R: A Language and Environment for Statistical Computing. Vienna, Austria: R Foundation for Statistical Computing. https://www.R-project.org/.
Tennekes, Martijn. 2018. tmap: Thematic Maps in R.” Journal of Statistical Software 84 (6): 1–39. https://doi.org/10.18637/jss.v084.i06.
Tierney, Luke, A. J. Rossini, Na Li, and H. Sevcikova. 2021. snow: Simple Network of Workstations. https://CRAN.R-project.org/package=snow.
Wickham, Hadley, Mara Averick, Jennifer Bryan, Winston Chang, Lucy D’Agostino McGowan, Romain François, Garrett Grolemund, et al. 2019. “Welcome to the tidyverse.” Journal of Open Source Software 4 (43): 1686. https://doi.org/10.21105/joss.01686.
Xie, Yihui, Joe Cheng, Xianying Tan, and Garrick Aden-Buie. 2025. DT: A Wrapper of the JavaScript Library DataTables. https://CRAN.R-project.org/package=DT.
Youngflesh, Casey. 2018. MCMCvis: Tools to Visualize, Manipulate, and Summarize MCMC Output.” Journal of Open Source Software 3 (24): 640. https://doi.org/10.21105/joss.00640.

Reuse

Citation

BibTeX citation:
@online{forero2025,
  author = {Forero, German and Wallace, Robert and Zapara-Rios, Galo and
    Isasi-Catalá, Emiliana and J. Lizcano, Diego},
  title = {Pacoche {Spatial} {Factor} {Multi-Species} {Occupancy}
    {Model}},
  date = {2025-08-16},
  url = {https://dlizcano.github.io/Occu_APs_all/blog/2025-11-05-Pacoche/},
  langid = {en}
}
For attribution, please cite this work as:
Forero, German, Robert Wallace, Galo Zapara-Rios, Emiliana Isasi-Catalá, and Diego J. Lizcano. 2025. “Pacoche Spatial Factor Multi-Species Occupancy Model.” August 16, 2025. https://dlizcano.github.io/Occu_APs_all/blog/2025-11-05-Pacoche/.